• ๋Œ€ํ•œ์ „๊ธฐํ•™ํšŒ
Mobile QR Code QR CODE : The Transactions of the Korean Institute of Electrical Engineers
  • COPE
  • kcse
  • ํ•œ๊ตญ๊ณผํ•™๊ธฐ์ˆ ๋‹จ์ฒด์ด์—ฐํ•ฉํšŒ
  • ํ•œ๊ตญํ•™์ˆ ์ง€์ธ์šฉ์ƒ‰์ธ
  • Scopus
  • crossref
  • orcid

  1. (Dept. of Electrical and Computer Engineering, Ajou University, Korea.)



Dynamic characteristics, image-based visual servoing, multi-layer artificial neural network dynamics, omnidirectional mobile robot, velocity sensor

1. ์„œ ๋ก 

์ „๋ฐฉํ–ฅ ์ด๋™๋กœ๋ด‡์€ ์ผ๋ฐ˜์ ์ธ ์ด๋™๋กœ๋ด‡๊ณผ ๋‹ฌ๋ฆฌ ํ™€๋กœ๋…ธ๋ฏนํ•œ ํŠน์„ฑ์„ ๊ฐ€์ง€๊ณ  ์žˆ๊ธฐ ๋•Œ๋ฌธ์— ์ „๋ฐฉํ–ฅ์œผ๋กœ ์ฆ‰๊ฐ์ ์ธ ์ด๋™์ด ๊ฐ€๋Šฅํ•˜๋ฏ€๋กœ ์‚ฐ์—… ํ˜„์žฅ์—์„œ ๋งŽ์ด ์‚ฌ์šฉ๋˜๊ณ  ์žˆ๋‹ค(1)-(2). ์ „๋ฐฉํ–ฅ ์ด๋™๋กœ๋ด‡์„ ์ •ํ™•ํžˆ ์ œ์–ดํ•˜๊ธฐ ์œ„ํ•ด์„œ๋Š” ๋จผ์ € ๊ทธ ๋กœ๋ด‡์˜ ๊ธฐ๊ตฌํ•™๊ณผ ๋™์—ญํ•™ ๋ชจ๋ธ์„ ์•Œ์•„์•ผ ํ•œ๋‹ค. ๊ทธ๋Ÿฌ๋‚˜ ๋™์—ญํ•™ ๋ชจ๋ธ์€ ๋งค์šฐ ๋ณต์žกํ•œ ํ˜•ํƒœ๋ฅผ ๊ฐ€์ง€๊ณ  ์ง์ ‘ ์ธก์ •ํ•˜๊ธฐ ์–ด๋ ค์šด ํŒŒ๋ผ๋ฏธํ„ฐ๋ฅผ ํฌํ•จํ•˜๊ณ  ์žˆ๋‹ค. ์ด๋ฅผ ํ•ด๊ฒฐํ•˜๊ธฐ ์œ„ํ•ด ๋™์—ญํ•™ ๋ชจ๋ธ์—์„œ ํŒŒ๋ผ๋ฏธํ„ฐ๋ฅผ ์•Œ์•„๋‚ด๊ธฐ ์œ„ํ•ด ์‹๋ณ„์— ๋Œ€ํ•œ ์—ฐ๊ตฌ๊ฐ€ ์ง„ํ–‰๋˜์—ˆ๊ณ (3), ์ธ๊ณต์‹ ๊ฒฝ๋ง ๋™์—ญํ•™์— ๋Œ€ํ•œ ์—ฐ๊ตฌ๋„ ์ง„ํ–‰๋˜๊ณ  ์žˆ๋‹ค(4). ๋™์—ญํ•™ ๋ชจ๋ธ์˜ ๊ฐœ๋ณ„์ ์ธ ํŒŒ๋ผ๋ฏธํ„ฐ ์‹๋ณ„๊ณผ์ •์€ ์‹œ๊ฐ„์ด ์ง€๋‚จ์— ๋”ฐ๋ผ ํŒŒ๋ผ๋ฏธํ„ฐ์˜ ๊ฐ’๋“ค์ด ์ž˜ ๋งž์ง€ ์•Š๊ฒŒ ๋˜๊ณ , ์ด๋Š” ์„ฑ๋Šฅ์˜ ์ €ํ•˜๋ฅผ ๊ฐ€์ ธ์˜ฌ ์ˆ˜ ์žˆ๋‹ค. ๋”ฐ๋ผ์„œ ๋ณธ ๋…ผ๋ฌธ์—์„œ๋Š” ์ธ๊ณต์‹ ๊ฒฝ๋ง์„ ์ด์šฉํ•˜์—ฌ ๋™์—ญํ•™ ๋ชจ๋ธ์„ ์–ป๋Š” ๋ฐฉ๋ฒ•์— ์ฃผ๋ชฉํ•œ๋‹ค. ๋™์  ์‹œ์Šคํ…œ์— ๋Œ€ํ•˜์—ฌ ์ธ๊ณต์‹ ๊ฒฝ๋ง ๋™์—ญํ•™์„ ์„ค๊ณ„ํ•˜๋Š” ์—ฐ๊ตฌ๋Š” ์ฃผ๋กœ ๋ชจ๋ธ ์˜ˆ์ธก ์ œ์–ด(Model Predictive Control, MPC)(5), ๋ชจ๋ธ ๊ธฐ๋ฐ˜ ์ ์‘ ์ œ์–ด(Model Based Adaptive Control)(6) ๋“ฑ์— ์‚ฌ์šฉ๋˜๊ณ  ์žˆ๋‹ค. ์ด๋Ÿฌํ•œ ์ œ์–ด ๋ฐฉ๋ฒ•๋“ค์€ ์ œ์–ดํ•˜๊ณ ์ž ํ•˜๋Š” ๋กœ๋ด‡ ์‹œ์Šคํ…œ์˜ ๋™์  ํŠน์„ฑ(Dynamic characteristics)์„ ์ž˜ ๋ณด์—ฌ์ฃผ๋Š” ์ธ๊ณต์‹ ๊ฒฝ๋ง์„ ์„ค๊ณ„ํ•˜์—ฌ ๋™์—ญํ•™ ๋ชจ๋ธ์˜ ์ถœ๋ ฅ์„ ์˜ˆ์ธกํ•˜๊ฑฐ๋‚˜ ์ ์‘์ ์œผ๋กœ ์กฐ์ •ํ•˜์—ฌ ์ œ์–ดํ•˜๋Š” ๋ฐฉ๋ฒ•์ด๋‹ค. ์ธ๊ณต์‹ ๊ฒฝ๋ง ๋™์—ญํ•™ ๋ชจ๋ธ์„ ์ด์šฉํ•œ ๋™์  ๋กœ๋ด‡ ์‹œ์Šคํ…œ์„ ํ‘œํ˜„ํ•˜๋Š” ๋ฐฉ๋ฒ•์€ ๋‹ค์–‘ํ•˜๊ฒŒ ํ™œ์šฉ๋  ์ˆ˜ ์žˆ๋‹ค.

๋ณธ ๋…ผ๋ฌธ์—์„œ๋Š” ์ „๋ฐฉํ–ฅ ์ด๋™๋กœ๋ด‡์˜ ๋™์  ํŠน์„ฑ์„ ์ž˜ ๋ณด์—ฌ์ฃผ๋Š” ๋‹ค์ธต์ธ๊ณต์‹ ๊ฒฝ๋ง ๋™์—ญํ•™ ๋ชจ๋ธ์„ ์„ค๊ณ„ํ•˜๊ณ , ์„ค๊ณ„ํ•œ ๋™์—ญํ•™ ๋ชจ๋ธ์˜ ์ถœ๋ ฅ์ธ ์ „๋ฐฉํ–ฅ ์ด๋™๋กœ๋ด‡์˜ ์†๋„ ์ •๋ณด๋ฅผ ํ™œ์šฉํ•œ ์ „๋ฐฉํ–ฅ ์ด๋™๋กœ๋ด‡์˜ ์˜์ƒ๊ธฐ๋ฐ˜ ๋น„์ฃผ์–ผ ์„œ๋ณด์ž‰(Image Based Visual Servoing, IBVS) ๋ฐฉ๋ฒ•์„ ์ œ์•ˆํ•œ๋‹ค. ์˜์ƒ๊ธฐ๋ฐ˜ ๋น„์ฃผ์–ผ ์„œ๋ณด์ž‰์€ ์นด๋ฉ”๋ผ ์˜์ƒ์—์„œ ํŠน์ง•์  ์˜ค์ฐจ๋ฅผ ์ ๊ทผ์ ์œผ๋กœ ์ˆ˜๋ ดํ•˜๊ธฐ ์œ„ํ•œ ๋กœ๋ด‡ ์‹œ์Šคํ…œ์˜ ๊ธฐ์ค€ ์†๋„๋ฅผ ์ƒ์„ฑํ•œ๋‹ค(7). ์ƒ์„ฑ๋œ ๊ธฐ์ค€ ์†๋„๋ฅผ ์ •ํ™•ํžˆ ์ถ”์ข…ํ•˜๊ธฐ ์œ„ํ•ด์„œ๋Š” ์ „๋ฐฉํ–ฅ ์ด๋™๋กœ๋ด‡์˜ ์ •ํ™•ํ•œ ์†๋„ ๊ฐ’์„ ์•Œ์•„์•ผ ํ•˜์ง€๋งŒ, ๊ตฌ๋™๊ธฐ์— ๋ถ€์ฐฉ๋œ ์†๋„์„ผ์„œ๋กœ ์–ป์–ด์ง€๋Š” ์†๋„ ์ •๋ณด๋“ค์€ ๊ตฌ๋™๊ธฐ์˜ ๋ฐ”ํ€ด์™€ ์ง€๋ฉด๊ฐ„์˜ ๋ฏธ๋„๋Ÿฌ์ง(8)์ด๋‚˜ ๊ตฌ๋™๊ธฐ์˜ ํ—›๋„๋Š” ํ˜„์ƒ์œผ๋กœ ์ธํ•ด ๋ถˆํ™•์‹ค์„ฑ์ด ๋ฐœ์ƒํ•œ๋‹ค. ์ด๋Ÿฌํ•œ ์ „๋ฐฉํ–ฅ ์ด๋™๋กœ๋ด‡์˜ ์†๋„ ๋ถˆํ™•์‹ค์„ฑ์€ ์˜์ƒ๊ธฐ๋ฐ˜ ๋น„์ฃผ์–ผ ์„œ๋ณด์ž‰ ์ œ์–ด๊ธฐ์˜ ์„ฑ๋Šฅ์„ ์ €ํ•˜์‹œํ‚ฌ ์ˆ˜ ์žˆ๋‹ค. (9)์—์„œ๋Š” ์ „์—ญ ๋น„์ „ ์„ผ์„œ(Global Vision Sensor, GAS)๋กœ๋ถ€ํ„ฐ ์†๋„๋ฅผ ๊ณ„์‚ฐํ•˜์—ฌ ์ „๋ฐฉํ–ฅ ์ด๋™๋กœ๋ด‡์˜ ์†๋„๋ฅผ ์–ป์—ˆ๊ณ , (10)์—์„œ๋Š” ๋‹ค์ธต์ธ๊ณต์‹ ๊ฒฝ๋ง์„ ํ†ตํ•ด ์†๋„๋ฅผ ์ƒ์„ฑํ•˜๋Š” ๋Œ€์‹  ์ง์ ‘์ ์œผ๋กœ ์ „๋ฐฉํ–ฅ ์ด๋™๋กœ๋ด‡์˜ ์ž์„ธ ์ง€๋ น์„ ์ƒ์„ฑํ•˜์—ฌ ์˜์ƒ๊ธฐ๋ฐ˜ ๋น„์ฃผ์–ผ ์„œ๋ณด์ž‰์„ ๊ตฌํ˜„ํ•˜์˜€๋‹ค. ๋ณธ ๋…ผ๋ฌธ์—์„œ๋Š” ์†๋„์„ผ์„œ์˜ ๋ถˆํ™•์‹ค์„ฑ์„ ์ง์ ‘์ ์œผ๋กœ ํ•ด๊ฒฐํ•˜๊ธฐ ์œ„ํ•œ ๋ฐฉ๋ฒ•์„ ์ œ์•ˆํ•œ๋‹ค. ๋ถˆํ™•์‹ค์„ฑ์„ ํฌํ•จํ•œ ์†๋„์„ผ์„œ๋ฅผ ์‚ฌ์šฉํ•˜๋Š” ๋Œ€์‹ ์—, ์‚ฌ์ „์— ์ „๋ฐฉํ–ฅ ์ด๋™๋กœ๋ด‡์˜ ์‹ค์ œ ์ž…์ถœ๋ ฅ ๋ฐ์ดํ„ฐ๋ฅผ ๊ฐ€์ง€๊ณ  ์ „๋ฐฉํ–ฅ ์ด๋™๋กœ๋ด‡์˜ ๋™์  ํŠน์„ฑ์„ ์ •ํ™•ํžˆ ํ‘œํ˜„ํ•  ์ˆ˜ ์žˆ๋Š” ๋‹ค์ธต์ธ๊ณต์‹ ๊ฒฝ๋ง ๋™์—ญํ•™ ๋ชจ๋ธ์„ ํ•™์Šตํ•˜์—ฌ ์–ป๋Š”๋‹ค. ์ด ๋‹ค์ธต์ธ๊ณต์‹ ๊ฒฝ๋ง ๋™์—ญํ•™์„ ํ†ตํ•ด ์–ป๋Š” ์ „๋ฐฉํ–ฅ ์ด๋™๋กœ๋ด‡์˜ ์†๋„ ์ •๋ณด๋ฅผ ํ™œ์šฉํ•˜์—ฌ ์†๋„์„ผ์„œ๊ฐ€ ์—†๋Š” ์ „๋ฐฉํ–ฅ ์ด๋™๋กœ๋ด‡์˜ ์˜์ƒ๊ธฐ๋ฐ˜ ๋น„์ฃผ์–ผ ์„œ๋ณด์ž‰์„ ๊ตฌํ˜„ํ•œ๋‹ค.

2. ์ „๋ฐฉํ–ฅ ์ด๋™๋กœ๋ด‡์˜ ๊ธฐ์ค€ ๋™์—ญํ•™ ๋ชจ๋ธ๊ณผ ๋‹ค์ธต์ธ๊ณต์‹ ๊ฒฝ๋ง ๋™์—ญํ•™ ๋ชจ๋ธ

์ด ์žฅ์—์„œ๋Š” ์ „๋ฐฉํ–ฅ ์ด๋™๋กœ๋ด‡์˜ ๊ธฐ์ค€ ๋™์—ญํ•™ ๋ชจ๋ธ๊ณผ ๋‹ค์ธต์ธ๊ณต์‹ ๊ฒฝ๋ง ๋™์—ญํ•™ ๋ชจ๋ธ์„ ์–ป๋Š”๋‹ค. ์ „๋ฐฉํ–ฅ ์ด๋™๋กœ๋ด‡์˜ ๊ธฐ์ค€ ๋™์—ญํ•™ ๋ชจ๋ธ์€ ์ˆ˜ํ•™์ ์œผ๋กœ ํ‘œํ˜„๋˜๋Š” ๋™์—ญํ•™ ๋ชจ๋ธ๋กœ ๋‚ด๋ถ€์— ๋งŽ์€ ํŒŒ๋ผ๋ฏธํ„ฐ๋ฅผ ํฌํ•จํ•˜๊ณ  ์žˆ๋‹ค. ๋‹ค์ธต์ธ๊ณต์‹ ๊ฒฝ๋ง ๋™์—ญํ•™ ๋ชจ๋ธ์€ ์‹ค์ œ ์ „๋ฐฉํ–ฅ ์ด๋™๋กœ๋ด‡์˜ ์ž…์ถœ๋ ฅ ๋ฐ์ดํ„ฐ๋ฅผ ํ†ตํ•ด ๋‹ค์ธต์ธ๊ณต์‹ ๊ฒฝ๋ง์„ ํ•™์Šตํ•˜์—ฌ ์–ป์Œ์œผ๋กœ์จ ๊ธฐ์ค€ ๋™์—ญํ•™ ๋ชจ๋ธ์„ ์ž˜ ๋ชจ์‚ฌํ•  ์ˆ˜ ์žˆ๋Š” ๋™์—ญํ•™ ๋ชจ๋ธ์ด๋‹ค.

2.1 ์ „๋ฐฉํ–ฅ ์ด๋™๋กœ๋ด‡ ๊ธฐ์ค€ ๋™์—ญํ•™ ๋ชจ๋ธ

์ˆ˜ํ•™์ ์œผ๋กœ ํ‘œํ˜„ํ•  ์ˆ˜ ์žˆ๋Š” ์ „๋ฐฉํ–ฅ ์ด๋™๋กœ๋ด‡์˜ ๊ธฐ์ค€ ๋™์—ญํ•™ ๋ชจ๋ธ์„ ์„ค๊ณ„ํ•œ๋‹ค. ๊ทธ๋ฆผ 1์€ ์ „๋ฐฉํ–ฅ ์ด๋™๋กœ๋ด‡์˜ ๋ชจ๋ธ์„ ๋‚˜ํƒ€๋‚ด๋ฉฐ ์„ค๊ณ„ํ•˜๊ณ ์žํ•˜๋Š” ๋™์—ญํ•™ ๋ชจ๋ธ์˜ ์‹œ์Šคํ…œ์ด๋‹ค.

๊ทธ๋ฆผ. 1. ์ „๋ฐฉํ–ฅ ์ด๋™๋กœ๋ด‡ ๋ชจ๋ธ

Fig. 1. Omnidirectional mobile robot model

../../Resources/kiee/KIEE.2020.69.4.594/fig1.png

๊ตฌ๋™๊ธฐ ๋ถ€๋ถ„์€ ์ด 3๊ฐœ($F_{1}$, $F_{2}$, $F_{3}$)๋กœ ๊ตฌ์„ฑ๋˜์–ด ์žˆ๊ณ  ๊ฐ ๊ตฌ๋™๊ธฐ์—๋Š” ์ „๋ฐฉํ–ฅ ํœ ์ด ์žฅ์ฐฉ๋˜์–ด ์ „๋ฐฉํ–ฅ ๊ตฌ๋™์ด ๊ฐ€๋Šฅํ•˜๊ฒŒ ๋œ๋‹ค. ๊ทธ๋Ÿฌ๋‚˜ ๋กœ๋ด‡ ์‹œ์Šคํ…œ์˜ ๊ตฌ๋™๊ธฐ๋Š” DC ๋ชจํ„ฐ๋ฅผ ๋งŽ์ด ์‚ฌ์šฉํ•˜๊ธฐ ๋•Œ๋ฌธ์— ์‹ค์ œ ์ž…๋ ฅ์€ ๊ตฌ๋™๊ธฐ์˜ ์ž…๋ ฅ์ธ ์ „์••์ด ๋œ๋‹ค. ๊ตฌ๋™๊ธฐ๋ฅผ ๊ณ ๋ คํ•œ ๋™์—ญํ•™ ๋ชจ๋ธ์„ ์–ป๊ธฐ ์œ„ํ•ด์„œ๋Š” ๊ตฌ๋™๊ธฐ ๋™์—ญํ•™์„ ํฌํ•จํ•˜์—ฌ ์ „์ฒด ์‹œ์Šคํ…œ์˜ ๋™์—ญํ•™ ๋ชจ๋ธ๋ง์ด ํ•„์š”ํ•˜๋‹ค. ๋ณธ ๋…ผ๋ฌธ์—์„œ๋Š” ๊ตฌ๋™๊ธฐ ๋™์—ญํ•™์„ ํฌํ•จํ•œ ์ „๋ฐฉํ–ฅ ์ด๋™๋กœ๋ด‡์˜ ๋™์—ญํ•™ ๋ชจ๋ธ์„ ๋‹ค๋ฃฌ๋‹ค.

์ „๋ฐฉํ–ฅ ์ด๋™๋กœ๋ด‡์€ ๊ฒฌ์ธ๋ ฅ์˜ ๋ฐฉํ–ฅ์œผ๋กœ์˜ ๋ฐ”ํ€ด ๋ฏธ๋„๋Ÿฌ์ง์ด ์—†๊ณ , ๋ฐ”ํ€ด๋“ค์ด ๋ฐ”๋‹ฅ๊ณผ ์ ‘์ด‰ํ•˜์—ฌ ๋ฐœ์ƒํ•˜๋Š” ๋งˆ์ฐฐ๋ ฅ์€ ๊ฐ ๋ฐ”ํ€ด์˜ ๊ฒฌ์ธ๋ ฅ์˜ ๋ฐฉํ–ฅ์œผ๋กœ๋งŒ ์ž‘์šฉํ•œ๋‹ค๊ณ  ๊ฐ€์ •ํ•˜์—ฌ, (11)์—์„œ ์œ ๋„๋œ ๊ตฌ๋™๊ธฐ์˜ ๋™์—ญํ•™์„ ํฌํ•จํ•œ ์ „๋ฐฉํ–ฅ ์ด๋™๋กœ๋ด‡์˜ ๊ธฐ์ค€ ๋™์—ญํ•™ ์‹์€ ๋‹ค์Œ๊ณผ ๊ฐ™๋‹ค.

(1)
$$\begin{aligned} \left[\begin{array}{c} \dot{u} \\ \dot{v} \\ \dot{r} \end{array}\right]=& G^{-1}\left[\begin{array}{c} r v \\ -r u \\ 0 \end{array}\right]-G^{-1} H B B^{T}\left(\frac{k_{2} k_{3}}{R_{a}}+b_{0}\right) \frac{n^{2}}{R^{2}}\left[\begin{array}{l} u \\ v \\ r \end{array}\right] \\ &+G^{-1} H B \frac{k_{2} n}{R R_{a}}\left[\begin{array}{l} E_{1} \\ E_{2} \\ E_{3} \end{array}\right] \end{aligned}$$

์—ฌ๊ธฐ์„œ $G=I+HBB^{T}\dfrac{n^{2}J_{0}}{R^{2}}$์ด๊ณ , ํ–‰๋ ฌ $H$์™€ $B$๋Š” ๊ฐ๊ฐ

(2)
$$H=\left[\begin{array}{ccc} 1 / m & 0 & 0 \\ 0 & 1 / m & 0 \\ 0 & 0 & 1 / I_{2} \end{array}\right]$$

(3)
$$B=\left[\begin{array}{ccc} 0 & \cos \left(30^{\circ}\right) & -\cos \left(30^{\circ}\right) \\ -1 & \sin \left(30^{\circ}\right) & \sin \left(30^{\circ}\right) \\ L & L & L \end{array}\right]$$

$u$, $v$์€ ๊ฐ๊ฐ ๋กœ๋ด‡ ํ”„๋ ˆ์ž„์˜ $x$, $y$ ๋ฐฉํ–ฅ์œผ๋กœ์˜ ์†๋„, $r$์€ ํšŒ์ „์†๋„, $m$์€ ๋กœ๋ด‡์˜ ์งˆ๋Ÿ‰, $I_{z}$๋Š” ๋กœ๋ด‡์˜ ๊ด€์„ฑ๋ชจ๋ฉ˜ํŠธ, $R$์€ ๋ฐ”ํ€ด์˜ ๋ฐ˜์ง€๋ฆ„์ด๋‹ค. ๋˜ํ•œ ๊ตฌ๋™๊ธฐ ๋‚ด๋ถ€์˜ ๋งŽ์€ ํŒŒ๋ผ๋ฏธํ„ฐ๋ฅผ ํฌํ•จํ•˜๊ณ  ์žˆ๋Š”๋ฐ, $E:=[E_{1},\: E_{2},\: E_{3}]^{T}$๋Š” ๋ชจํ„ฐ์— ์ธ๊ฐ€ํ•˜๋Š” ์ „์••, $n$๋Š” ๋ชจํ„ฐ์˜ ๊ธฐ์–ด๋น„, $R_{a}$๋Š” ๋ชจํ„ฐ ๋‚ด๋ถ€์˜ ์ „๊ธฐ์ž ์ €ํ•ญ, $J_{0}$๋Š” ๋ชจํ„ฐ์™€ ๋ฐ”ํ€ด๊นŒ์ง€์˜ ๊ด€์„ฑ๋ชจ๋ฉ˜ํŠธ, $b_{0}$๋Š” ์ ์„ฑ ๋งˆ์ฐฐ๊ณ„์ˆ˜, $k_{2}$์™€ $k_{3}$๋Š” ๊ฐ๊ฐ ๋ชจํ„ฐ ํ† ํฌ์ƒ์ˆ˜์™€ ์—ญ๊ธฐ์ „๋ ฅ ์ƒ์ˆ˜์ด๋‹ค. ์‹(1)์˜ ์ „๋ฐฉํ–ฅ ์ด๋™๋กœ๋ด‡์˜ ๋™์—ญํ•™ ๋ชจ๋ธ์„ ๊ธฐ์ค€ ๋™์—ญํ•™ ๋ชจ๋ธ๋กœ ์„ ์ •ํ•˜๊ณ  ์ด๋ฅผ ๋‹ค์ธต์ธ๊ณต์‹ ๊ฒฝ๋ง์œผ๋กœ ์–ป์€ ๋™์—ญํ•™ ๋ชจ๋ธ๊ณผ ๋น„๊ตํ•œ๋‹ค.

๊ธฐ์ค€ ๋™์—ญํ•™ ๋ชจ๋ธ์—์„œ ๋กœ๋ด‡์˜ ๋ฌด๊ฒŒ, ๋ฐ”ํ€ด ๋ฐ˜์ง€๋ฆ„ ๋“ฑ ์‹ค์ œ๋กœ ์ธก์ • ๊ฐ€๋Šฅํ•œ ํŒŒ๋ผ๋ฏธํ„ฐ๊ฐ€ ์žˆ๋Š” ๋ฐ˜๋ฉด์— ์ง์ ‘ ์ธก์ •์ด ์–ด๋ ค์šด ๋ชจํ„ฐ ์ƒ์ˆ˜, ๊ด€์„ฑ๋ชจ๋ฉ˜ํŠธ ๋“ฑ์€ ๋ชจํ„ฐ ์‹๋ณ„๊ณผ ๋™์—ญํ•™ ๋ชจ๋ธ ์‹๋ณ„์„ ํ†ตํ•ด ๊ตฌํ•ด์•ผ ํ•œ๋‹ค. ๊ทธ๋Ÿฌ๋‚˜ ์‹๋ณ„์„ ํ†ตํ•ด ์–ป์€ ํŒŒ๋ผ๋ฏธํ„ฐ๋Š” ๋กœ๋ด‡์„ ๊ตฌ๋™ํ•˜๋ฉด์„œ ์ ์ฐจ ์‹ค์ œ ๋กœ๋ด‡๊ณผ ๋งž์ง€ ์•Š์€ ๊ฒฝ์šฐ๊ฐ€ ๋ฐœ์ƒํ•  ์ˆ˜ ์žˆ์œผ๋ฏ€๋กœ ์ •ํ™•ํ•œ ๋™์—ญํ•™ ํŒŒ๋ผ๋ฏธํ„ฐ๋“ค์„ ์–ป๊ธฐ ์œ„ํ•ด์„œ๋Š” ์ฃผ๊ธฐ์ ์œผ๋กœ ๋™์—ญํ•™ ํŒŒ๋ผ๋ฏธํ„ฐ๋“ค์„ ์ˆ˜์ •ํ•  ํ•„์š”๊ฐ€ ์žˆ๊ณ  ์‹๋ณ„๊ณผ์ • ๋˜ํ•œ ๋งค์šฐ ์–ด๋ ค์šธ ์ˆ˜ ์žˆ๋‹ค. ๋‹ค์Œ ํ‘œ 1์—์„œ๋Š” ๋ณธ ๋…ผ๋ฌธ์—์„œ ๋‹ค๋ฃฐ ๊ธฐ์ค€ ๋™์—ญํ•™ ๋ชจ๋ธ์˜ ํŒŒ๋ผ๋ฏธํ„ฐ๋ฅผ ๋‚˜ํƒ€๋‚ธ๋‹ค.

ํ‘œ 1. ๊ธฐ์ค€ ๋™์—ญํ•™ ๋ชจ๋ธ์˜ ํŒŒ๋ผ๋ฏธํ„ฐ๋“ค

Table 1. Parameters of reference dynamics

์ „๋ฐฉํ–ฅ ์ด๋™๋กœ๋ด‡ ๊ธฐ์ค€ ๋™์—ญํ•™ ๋ชจ๋ธ์˜ ํŒŒ๋ผ๋ฏธํ„ฐ [๋‹จ์œ„]

$m = 0.85[kg]$, $I_{z}= 0.4138[kgm^{2}]$, $L = 0.225[m]$, $n = 20$, $R_{a}= 0.74[\Omega]$, $k_{3}= 0.02[Vs/rad]$, $k_{2}= 0.02[Nm/A]$, $J_{0}= 9.38\times 10^{-6}[kgm^{2}]$, $b_{0}= 1.10\times 10^{-6}[kg^{2}/s]$, $R = 0.03[m]$

2.2 ์ „๋ฐฉํ–ฅ ์ด๋™๋กœ๋ด‡ ๋‹ค์ธต์ธ๊ณต์‹ ๊ฒฝ๋ง ๋™์—ญํ•™ ๋ชจ๋ธ

๋‹ค์ธต์ธ๊ณต์‹ ๊ฒฝ๋ง์€ ๋…ธ๋“œ๋ผ๊ณ  ํ‘œํ˜„ํ•˜๋Š” ์ธ๊ณต ๋‰ด๋Ÿฐ์ด ์ธต์„ ์Œ“์•„ ๊ตฌ์„ฑํ•˜๊ฒŒ ๋˜๊ณ  ์ด๋Ÿฌํ•œ ์ธต๋“ค์ด ๋ชจ์—ฌ ์‹ ๊ฒฝ๋ง์„ ๊ตฌ์„ฑํ•˜๋Š” ํ˜•ํƒœ๋ฅผ ๊ฐ€์ง„๋‹ค. ํ•˜๋‚˜์˜ ์ธ๊ณต ๋‰ด๋Ÿฐ์— ๋Œ€ํ•˜์—ฌ ์ˆ˜ํ•™์ ์œผ๋กœ ํ‘œํ˜„ํ•˜๋ฉด ๋‹ค์Œ๊ณผ ๊ฐ™๋‹ค.

(4)
$Y=f(W^{T}U+bias)$

์—ฌ๊ธฐ์„œ $U$์™€ $Y$๋Š” ๊ฐ๊ฐ ์ž…๋ ฅ๊ณผ ์ถœ๋ ฅ ๋ฒกํ„ฐ์ด๊ณ , $W^{T}$๋Š” ๊ฐ€์ค‘์น˜ ๋ฒกํ„ฐ, $bias$๋Š” ๋…ธ๋“œ์— ๋ถ™์–ด์žˆ๋Š” ์ƒ์ˆ˜์ด๋‹ค. ์ด ๊ณผ์ •์„ ๊ทธ๋ฆผ์œผ๋กœ ํ‘œํ˜„ํ•˜๋ฉด ๊ทธ๋ฆผ 2์™€ ๊ฐ™๋‹ค.

๊ทธ๋ฆผ. 2. ์ธ๊ณต ๋‰ด๋Ÿฐ์˜ ์ˆ˜ํ•™์  ๋ชจ๋ธ

Fig. 2. athematical model of artificial neurons

../../Resources/kiee/KIEE.2020.69.4.594/fig2.png

(12)์—์„œ๋Š” ๋‹ค์ธต์ธ๊ณต์‹ ๊ฒฝ๋ง์ด ๊ฐ€์ง€๋Š” 3๊ฐ€์ง€ ํŠน์„ฑ์„ ๋‹ค์Œ๊ณผ ๊ฐ™์ด ์„ค๋ช…ํ•œ๋‹ค. ์ฒซ ๋ฒˆ์งธ๋Š” ๋น„์„ ํ˜•์ ์ธ ์ž…๋ ฅ๊ณผ ์ถœ๋ ฅ์— ๋Œ€ํ•ด ๋งคํ•‘ํ•  ์ˆ˜ ์žˆ๋‹ค. ๋น„์„ ํ˜• ์‹œ์Šคํ…œ์˜ ๊ฒฝ์šฐ ๊ทธ ์‹œ์Šคํ…œ์ด ๋ณต์žกํ•˜์—ฌ ์ž…์ถœ๋ ฅ ๊ด€๊ณ„๋ฅผ ํ‘œํ˜„ํ•˜๊ธฐ ์–ด๋ ค์šธ ์ˆ˜ ์žˆ์ง€๋งŒ, ๋‹ค์ธต์ธ๊ณต์‹ ๊ฒฝ๋ง์œผ๋กœ ์ž…์ถœ๋ ฅ ๊ด€๊ณ„๋ฅผ ๋น„๊ต์  ์ •ํ™•ํžˆ ํ‘œํ˜„๊ฐ€๋Šฅํ•˜๋‹ค. ๋‘ ๋ฒˆ์งธ๋Š” ์ ์‘์  ํ•™์Šต๋Šฅ๋ ฅ์ด ์žˆ๋‹ค. ์ž…์ถœ๋ ฅ ์ •๋ณด๋ฅผ ๊ฐ€์ง€๊ณ  ์ดˆ๊ธฐ์—๋Š” ๋ถ€์ •ํ™•ํ•œ ๊ด€๊ณ„๋ฅผ ์–ป์ง€๋งŒ ์ ์ฐจ ํ•™์Šต์„ ํ†ตํ•ด ์ ์‘์ ์œผ๋กœ ์ž…์ถœ๋ ฅ ๊ด€๊ณ„๋ฅผ ํ˜•์„ฑํ•ด์ค€๋‹ค. ์„ธ ๋ฒˆ์งธ๋Š” ์ผ๋ฐ˜ํ™” ๋Šฅ๋ ฅ์„ ๊ฐ€์ง„๋‹ค. ํ•™์Šต ๋ฐ์ดํ„ฐ๋ฅผ ๊ฐ€์ง€๊ณ  ํ•™์Šต์„ ์‹œํ‚จ ํ›„ ํ•™์Šต ๋ฐ์ดํ„ฐ ์ด์™ธ์˜ ์ž…๋ ฅ์ •๋ณด์— ๋Œ€ํ•ด์„œ๋„ ๋ณด๋‹ค ์ •ํ™•ํ•œ ์ถœ๋ ฅ ๊ฐ’์„ ์–ป์„ ์ˆ˜ ์žˆ๋‹ค. ๋”ฐ๋ผ์„œ ์ด๋Ÿฌํ•œ ํŠน์„ฑ์„ ๋ฐ”ํƒ•์œผ๋กœ ๋ณต์žกํ•œ ์ „๋ฐฉํ–ฅ ์ด๋™๋กœ๋ด‡์˜ ๋™์—ญํ•™ ๋ชจ๋ธ์— ๋Œ€ํ•ด์„œ๋„ ๋‹ค์ธต์ธ๊ณต์‹ ๊ฒฝ๋ง์„ ํ†ตํ•ด ๋™์—ญํ•™ ๋ชจ๋ธ์„ ๊ตฌํ•  ์ˆ˜ ์žˆ๊ฒŒ ๋œ๋‹ค.

2.2.1 ๋‹ค์ธต์ธ๊ณต์‹ ๊ฒฝ๋ง ๋™์—ญํ•™ ๋ชจ๋ธ ๊ตฌ์กฐ

๋ณธ ๋…ผ๋ฌธ์—์„œ ๊ตฌ์„ฑํ•œ ๋‹ค์ธต์ธ๊ณต์‹ ๊ฒฝ๋ง ๋™์—ญํ•™ ๋ชจ๋ธ์€ ๊ทธ๋ฆผ 3๊ณผ ๊ฐ™๋‹ค. ๊ฐ ์€๋‹‰์ธต์—๋Š” ๋…ธ๋“œ 10๊ฐœ๋ฅผ ๊ฐ€์ง€๊ณ  ํ™œ์„ฑ ํ•จ์ˆ˜๋Š” ์Œ๊ณกํƒ„์  ํŠธ ์‹œ๊ทธ๋ชจ์ด๋“œ(tansig) ํ•จ์ˆ˜๋ฅผ ์‚ฌ์šฉํ•œ๋‹ค. ์ด ๋‹ค์ธต์ธ๊ณต์‹ ๊ฒฝ๋ง์˜ ์ž…๋ ฅ๊ณผ ์ถœ๋ ฅ์€ ๊ฐ๊ฐ 3๊ฐœ์ด๋ฉฐ, ์‹(1)์—์„œ์˜ ์ž…๋ ฅ $E_{1}$, $E_{2}$, $E_{3}$์™€ ์ถœ๋ ฅ $u$, $v$, $r$์ด๋‹ค.

2.2.2 ๋‹ค์ธต์ธ๊ณต์‹ ๊ฒฝ๋ง ๋™์—ญํ•™ ๋ชจ๋ธ ํ•™์Šต

๋‹ค์ธต์ธ๊ณต์‹ ๊ฒฝ๋ง ๋™์—ญํ•™ ๋ชจ๋ธ์„ ํ•™์Šตํ•˜๊ธฐ ์œ„ํ•ด์„œ ๋งคํŠธ๋žฉ(MATLAB) ์ธ๊ณต์‹ ๊ฒฝ๋ง ํˆด๋ฐ•์Šค(nntraintool)๋ฅผ ์‚ฌ์šฉํ•œ๋‹ค. ์ž…๋ ฅ ๋ฐ์ดํ„ฐ๋Š” ๋ฌด์ž‘์œ„ํ•˜๊ฒŒ ๋‚˜๋ˆ ์„œ ๊ฒ€์ฆ์— ์‚ฌ์šฉํ•œ๋‹ค. ํ•™์Šต์— ์‚ฌ์šฉ๋˜๋Š” ์ž…๋ ฅ ๋ฐ์ดํ„ฐ๋ฅผ ํ•™์Šตํ•˜๊ณ ์ž ํ•˜๋Š” ์‹ ๊ฒฝ๋ง์— ์ž…๋ ฅ์œผ๋กœ ๋„ฃ์—ˆ์„ ๋•Œ์˜ ์ถœ๋ ฅ ๊ฐ’๊ณผ ์‚ฌ์ „์— ์–ป์€ ์ถœ๋ ฅ ๊ฐ’์„ ๋น„๊ตํ•˜์—ฌ ํ‰๊ท  ์ œ๊ณฑ ์˜ค์ฐจ(Mean Squared Error, MSE)๋ฅผ ์–ป๊ณ , ์ด ์˜ค์ฐจ๋ฅผ ์ค„์ด๋Š” ๋ฐฉํ–ฅ์œผ๋กœ Levenberg-Marquardt(LM) ์•Œ๊ณ ๋ฆฌ์ฆ˜(13)์„ ์‚ฌ์šฉํ•˜์—ฌ ๊ฐ€์ค‘์น˜๋ฅผ ์กฐ์ •ํ•˜์—ฌ ํ•™์Šตํ•œ๋‹ค. LM ์•Œ๊ณ ๋ฆฌ์ฆ˜์€ ๊ฒฝ์‚ฌํ•˜๊ฐ•๋ฒ•(Gradient descent)๊ณผ ๊ฐ€์šฐ์Šค-๋‰ดํ„ด๋ฒ•(Gauss-Newton method)์„ ๋ชจ๋‘ ์‚ฌ์šฉํ•˜์—ฌ ์ตœ์ ์˜ ํ•ด๋ฅผ ์ฐพ๋Š” ๊ธฐ๋ฒ•์œผ๋กœ, ์ˆ˜๋งŽ์€ ๊ฐ€์ค‘์น˜๋ฅผ ๊ฐ€์ง€๋Š” ์‹ ๊ฒฝ๋ง์„ ํ•™์Šต์‹œํ‚ฌ ๋•Œ ๋งค์šฐ ํšจ์œจ์ ์ธ ๋ฐฉ๋ฒ•์ด๋‹ค(14). ํ•™์Šต ๋ฐ์ดํ„ฐ๋Š” ์‚ฌ์ „์— ์‹ค์ œ ์ „๋ฐฉํ–ฅ ์ด๋™๋กœ๋ด‡์œผ๋กœ๋ถ€ํ„ฐ ์ž…์ถœ๋ ฅ ๋ฐ์ดํ„ฐ๋ฅผ ์ทจ๋“ํ•˜์—ฌ ์–ป๊ณ  ์˜คํ”„๋ผ์ธ์œผ๋กœ ํ•™์Šต์„ ์ˆ˜ํ–‰ํ•œ๋‹ค. ๊ทธ๋ฆผ 4๋Š” ์ „๋ฐฉํ–ฅ ์ด๋™๋กœ๋ด‡ ์ž…์ถœ๋ ฅ ๋ฐ์ดํ„ฐ ์ทจ๋“ ๊ณผ์ •์„ ๋ณด์—ฌ์ค€๋‹ค. ์ „๋ฐฉํ–ฅ ์ด๋™๋กœ๋ด‡์˜ ๊ตฌ๋™๋ถ€๋Š” DC ๋ชจํ„ฐ(Maxon DCX26L-GB-KL- 24V)์™€ ์ „๋ฐฉํ–ฅ ํœ (Swedish wheels)์„ ์‚ฌ์šฉํ•˜๊ณ , ์ œ์–ด๊ธฐ๋กœ๋Š” ๋งˆ์ดํฌ๋กœ ์ปจํŠธ๋กค๋Ÿฌ(TMS320C28346)๊ฐ€ ํƒ‘์žฌ๋˜์–ด ์žˆ๋‹ค. ์ „๋ฐฉํ–ฅ ์ด๋™๋กœ๋ด‡ ์ƒ๋‹จ์— ๋งˆ์ปค(Markers)๋ฅผ ๋ถ€์ฐฉํ•˜์—ฌ ๋ชจ์…˜ ์บก์ฒ˜ ์žฅ์น˜(VICON bonita cameras)๋กœ๋ถ€ํ„ฐ ์ „๋ฐฉํ–ฅ ์ด๋™๋กœ๋ด‡์˜ ์†๋„ $u$, $v$, $r$๋ฅผ ์–ป๋Š”๋‹ค. ๊ทธ๋ฆผ 5๋Š” ์ „๋ฐฉํ–ฅ ์ด๋™๋กœ๋ด‡์— ์ธ๊ฐ€ํ•˜๋Š” ์ž…๋ ฅ ์ „์••๋“ค์„ ๋‚˜ํƒ€๋‚ด๊ณ , ๊ทธ๋ฆผ 6์€ ๋ชจ์…˜ ์บก์ณ ์žฅ์น˜๋กœ๋ถ€ํ„ฐ ์–ป์€ ์ „๋ฐฉํ–ฅ ์ด๋™๋กœ๋ด‡์˜ ์ถœ๋ ฅ ์†๋„๋ฅผ ๋‚˜ํƒ€๋‚ธ๋‹ค.

๊ทธ๋ฆผ. 3. ๋‹ค์ธต์ธ๊ณต์‹ ๊ฒฝ๋ง ๋™์—ญํ•™ ๋ชจ๋ธ์˜ ๊ตฌ์กฐ

Fig. 3. Multi-layer neural network dynamics structure

../../Resources/kiee/KIEE.2020.69.4.594/fig3.png

2.2.3 ํ•™์Šต ๊ฒฐ๊ณผ ๋ฐ ๊ธฐ์ค€ ๋™์—ญํ•™ ๋ชจ๋ธ๊ณผ ๋น„๊ต

๊ทธ๋ฆผ 7์€ ๋‹ค์ธต์ธ๊ณต์‹ ๊ฒฝ๋ง ๋™์—ญํ•™ ๋ชจ๋ธ์˜ ํ•™์Šต ์„ฑ๋Šฅ์„ ๋ณด์—ฌ์ค€๋‹ค. ํ‰๊ท  ์ œ๊ณฑ ์˜ค์ฐจ๋กœ ํ‘œํ˜„๋˜๋Š” ๊ฒ€์ฆ ์„ฑ๋Šฅ์ด 79๋ฒˆ์งธ ์„ธ๋Œ€(Epoch)์—์„œ 0.0031546์ด๋ฉฐ ๋งค์šฐ ์ž‘์€ ํ•™์Šต ์˜ค์ฐจ๋กœ ํ•™์Šต์ด ์ด๋ค„์ง์„ ํ™•์ธํ•  ์ˆ˜ ์žˆ๋‹ค. ๊ทธ๋ฆผ 8-10์€ ๊ธฐ์ค€ ๋™์—ญํ•™ ๋ชจ๋ธ๊ณผ ๋‹ค์ธต์ธ๊ณต์‹ ๊ฒฝ๋ง ๋™์—ญํ•™ ๋ชจ๋ธ์˜ ๊ฐ ์ถœ๋ ฅ ์†๋„ $u$, $v$, $r$์„ ๋น„๊ตํ•œ ๊ทธ๋ฆผ์ด๋‹ค. ๊ทธ๋ฆผ 5์™€ ๊ทธ๋ฆผ 6์—์„œ ํ•™์Šต ๋ฐ์ดํ„ฐ๊ฐ€ ์ „๋ฐฉํ–ฅ ์ด๋™๋กœ๋ด‡์˜ ๊ฐ€๋™ ๋ฒ”์œ„์˜ ๋ชจ๋“  ์˜์—ญ์„ ์ž˜ ํ‘œํ˜„ํ•ด์ฃผ๊ธฐ ๋•Œ๋ฌธ์— ํ•™์Šต๋œ ๋™์—ญํ•™ ๋ชจ๋ธ์ด ๊ธฐ์ค€ ๋™์—ญํ•™ ๋ชจ๋ธ๊ณผ ๋งค์šฐ ์œ ์‚ฌํ•œ ์‘๋‹ต์„ ๋ณด์ธ๋‹ค.

๊ทธ๋ฆผ. 4. ์ „๋ฐฉํ–ฅ ์ด๋™๋กœ๋ด‡์˜ ์ž…์ถœ๋ ฅ ๋ฐ์ดํ„ฐ ์ทจ๋“

Fig. 4. Input/Output data acquisition of omnidirectional mobile robot

../../Resources/kiee/KIEE.2020.69.4.594/fig4.png

๊ทธ๋ฆผ. 5. ์‹ค์ œ ์ „๋ฐฉํ–ฅ ์ด๋™๋กœ๋ด‡์˜ ์ž…๋ ฅ ์ „์•• ๋ฐ์ดํ„ฐ

Fig. 5. Input voltage data of actual omnidirectional mobile robot

../../Resources/kiee/KIEE.2020.69.4.594/fig5.png

๊ทธ๋ฆผ. 6. ์‹ค์ œ ์ „๋ฐฉํ–ฅ ์ด๋™๋กœ๋ด‡์˜ ์ถœ๋ ฅ ์†๋„ ๋ฐ์ดํ„ฐ

Fig. 6. Output velocity data of actual omnidirectional mobile robot

../../Resources/kiee/KIEE.2020.69.4.594/fig6.png

๊ทธ๋ฆผ. 7. ๋‹ค์ธต์ธ๊ณต์‹ ๊ฒฝ๋ง ๋™์—ญํ•™ ๋ชจ๋ธ์˜ ํ•™์Šต ์„ฑ๋Šฅ

Fig. 7. Learning performance of Multi-layer neural network dynamics

../../Resources/kiee/KIEE.2020.69.4.594/fig7.png

3. ์†๋„์„ผ์„œ๊ฐ€ ์—†๋Š” ์ „๋ฐฉํ–ฅ ์ด๋™๋กœ๋ด‡์˜ ์˜์ƒ๊ธฐ๋ฐ˜ ๋น„์ฃผ์–ผ ์„œ๋ณด์ž‰

์ด ์žฅ์—์„œ๋Š” ์ „๋ฐฉํ–ฅ ์ด๋™๋กœ๋ด‡์˜ ์˜์ƒ๊ธฐ๋ฐ˜ ๋น„์ฃผ์–ผ ์„œ๋ณด์ž‰ ์ œ์–ด๊ธฐ๋ฅผ ์„ค๊ณ„ํ•œ๋‹ค. ์ „๋ฐฉํ–ฅ ์ด๋™๋กœ๋ด‡์— ๋ถ€์ฐฉ๋œ ์นด๋ฉ”๋ผ๋กœ ๋ชฉํ‘œ๋ฌผ์˜ ํŠน์ง•์  ์ •๋ณด๋ฅผ ์–ป๊ณ , ๊ธฐ์ค€ ํŠน์ง•์ ๊ณผ์˜ ์˜ค์ฐจ๋ฅผ ์ •์˜ํ•˜์—ฌ ๊ทธ ์˜ค์ฐจ๊ฐ€ 0์œผ๋กœ ์ˆ˜๋ ดํ•˜๋„๋ก ํ•˜๋Š” ์ „๋ฐฉํ–ฅ ์ด๋™๋กœ๋ด‡์˜ ๊ธฐ์ค€ ์†๋„๋ฅผ ์ƒ์„ฑํ•œ๋‹ค. ์ƒ์„ฑํ•œ ๊ธฐ์ค€์†๋„๋ฅผ ์ „๋ฐฉํ–ฅ ์ด๋™๋กœ๋ด‡์ด ์ถ”์ข…ํ•˜๊ธฐ ์œ„ํ•ด์„œ๋Š” ์™ธ๋ถ€ ์†๋„ ์ œ์–ด๊ธฐ๋ฅผ ์„ค๊ณ„ํ•ด์•ผ ํ•˜๊ณ , ์ด ์†๋„ ์ œ์–ด๊ธฐ์—์„œ๋Š” ์ „๋ฑกํ–ฅ ์ด๋™๋กœ๋ด‡์˜ ์†๋„์„ผ์„œ๋กœ๋ถ€ํ„ฐ ์†๋„๋ฅผ ํ”ผ๋“œ๋ฐฑ ๋ฐ›์•„์•ผ ํ•œ๋‹ค.

๊ทธ๋ฆผ. 8. ๊ธฐ์ค€ ๋™์—ญํ•™๊ณผ ๋‹ค์ธต์ธ๊ณต์‹ ๊ฒฝ๋ง ๋™์—ญํ•™์˜ ์ถœ๋ ฅ ์†๋„ $u$ ๋น„๊ต

Fig. 8. Comparison of output velocity $u$ between reference dynamics and neural network dynamics

../../Resources/kiee/KIEE.2020.69.4.594/fig8.png

๊ทธ๋ฆผ. 9. ๊ธฐ์ค€ ๋™์—ญํ•™๊ณผ ๋‹ค์ธต์ธ๊ณต์‹ ๊ฒฝ๋ง ๋™์—ญํ•™์˜ ์ถœ๋ ฅ ์†๋„ $v$ ๋น„๊ต

Fig. 9. Comparison of output velocity $v$ between reference dynamics and neural network dynamics

../../Resources/kiee/KIEE.2020.69.4.594/fig9.png

๊ทธ๋ฆผ. 10. ๊ธฐ์ค€ ๋™์—ญํ•™๊ณผ ๋‹ค์ธต์ธ๊ณต์‹ ๊ฒฝ๋ง ๋™์—ญํ•™์˜ ์ถœ๋ ฅ ์†๋„ $r$ ๋น„๊ต

Fig. 10. Comparison of output velocity $r$ between reference dynamics and neural network dynamics

../../Resources/kiee/KIEE.2020.69.4.594/fig10.png

์ผ๋ฐ˜์ ์œผ๋กœ ์ „๋ฐฉํ–ฅ ์ด๋™๋กœ๋ด‡์˜ ์†๋„์„ผ์„œ๋กœ๋Š” ๊ตฌ๋™๊ธฐ์— ๊ฒฐํ•ฉ๋œ ์—”์ฝ”๋” ์„ผ์„œ๋ฅผ ์ด์šฉํ•œ๋‹ค. ํ•˜์ง€๋งŒ ์ด๋Ÿฌํ•œ ์†๋„์„ผ์„œ๋Š” ๋ฐ”ํ€ด์˜ ๋ฏธ๋„๋Ÿฌ์ง๊ณผ ํ—›๋„๋Š” ํ˜„์ƒ์œผ๋กœ ๋ถˆํ™•์‹ค์„ฑ์„ ๊ฐ€์ง„๋‹ค. ์†๋„ ์ •๋ณด๋ฅผ ์ •ํ™•ํžˆ ์–ป๊ธฐ ์œ„ํ•ด์„œ (9)์—์„œ๋Š” ์ „์—ญ ๋น„์ „ ์„ผ์„œ๋ฅผ ์‚ฌ์šฉํ•˜์—ฌ ์†๋„๋ฅผ ๊ณ„์‚ฐํ•˜์ง€๋งŒ, ์นด๋ฉ”๋ผ ์˜์ƒ์œผ๋กœ๋ถ€ํ„ฐ ๊ณ„์‚ฐํ•˜๊ธฐ ๋•Œ๋ฌธ์— ์—ฐ์‚ฐ๋Ÿ‰์ด ๋งŽ์•„ ์‹ค์‹œ๊ฐ„์„ฑ์„ ๋ณด์žฅํ•˜๊ธฐ ์–ด๋ ต๊ณ , ์นด๋ฉ”๋ผ ๋‚ด๋ถ€ ๊ณ ์œ  ๋ณ€์ˆ˜๋“ค์˜ ๋ถˆํ™•์‹ค์„ฑ์ด ๋ฐœ์ƒํ•˜์—ฌ ์†๋„ ์ •๋ณด์˜ ๋ถˆํ™•์‹ค์„ฑ์— ๊ธฐ์ธํ•  ์ˆ˜ ์žˆ๋‹ค. (10)์—์„œ๋Š” ์†๋„๋ฅผ ์–ป์ง€ ์•Š๊ณ  ๋‹ค์ธต์ธ๊ณต์‹ ๊ฒฝ๋ง์„ ํ†ตํ•ด ์ง์ ‘์ ์œผ๋กœ ์ „๋ฐฉํ–ฅ ์ด๋™๋กœ๋ด‡์˜ ์ž์„ธ ์ง€๋ น์„ ์ƒ์„ฑํ•˜์ง€๋งŒ, ์ง€๋ น์— ๋”ฐ๋ฅธ ์ „๋ฐฉํ–ฅ ์ด๋™๋กœ๋ด‡์˜ ์‹ค์ œ ์†๋„๊ฐ€ ์ˆ˜๋ ดํ•จ์„ ๋ณด์ด์ง€ ์•Š์•„ ์ •ํ™•ํ•œ ์ œ์–ด๋ฅผ ๊ธฐ๋Œ€ํ•˜๊ธฐ ์–ด๋ ต๋‹ค. ๋ณธ ์žฅ์—์„œ๋Š” ์†๋„์„ผ์„œ์˜ ๋ถˆํ™•์‹ค์„ฑ์„ ์ง์ ‘์ ์œผ๋กœ ํ•ด๊ฒฐํ•˜๊ธฐ ์œ„ํ•œ ๋ฐฉ๋ฒ•์„ ์ œ์•ˆํ•œ๋‹ค. 2์žฅ์—์„œ ์„ค๊ณ„ํ•œ ๋‹ค์ธต์ธ๊ณต์‹ ๊ฒฝ๋ง ๋™์—ญํ•™ ๋ชจ๋ธ์€ ์‹ค์ œ ์ „๋ฐฉํ–ฅ ์ด๋™๋กœ๋ด‡์„ ๊ตฌ๋™ํ•˜๋ฉด์„œ ์–ป๋Š” ์‹คํ—˜ ๋ฐ์ดํ„ฐ๋ฅผ ๋ฐ”ํƒ•์œผ๋กœ ์„ค๊ณ„๋˜์—ˆ๊ณ , ๊ตฌ๋™๊ธฐ์˜ ์ž…๋ ฅํ•˜๋Š” ์ „์••๊ณผ ๋ชจ์…˜ ์บก์ฒ˜ ์žฅ์น˜๋กœ๋ถ€ํ„ฐ ์–ป๋Š” ์ •ํ™•ํ•œ ์‹ค์ œ ์†๋„์˜ ๊ด€๊ณ„๋ฅผ ํ‘œํ˜„ํ•œ๋‹ค. ๋”ฐ๋ผ์„œ ๋‹ค์ธต์ธ๊ณต์‹ ๊ฒฝ๋ง ๋™์—ญํ•™์„ ํ†ตํ•ด ๋ถˆํ™•์‹ค์„ฑ์„ ํฌํ•จํ•œ ์†๋„์„ผ์„œ๊ฐ€ ์—†๋Š” ์ „๋ฐฉํ–ฅ ์ด๋™๋กœ๋ด‡์˜ ์˜์ƒ๊ธฐ๋ฐ˜ ๋น„์ฃผ์–ผ ์„œ๋ณด์ž‰์„ ๊ตฌํ˜„ํ•œ๋‹ค.

์นด๋ฉ”๋ผ ์ขŒํ‘œ๊ณ„์—์„œ 3์ฐจ์› ๋ชฉํ‘œ๋ฌผ์˜ ์ขŒํ‘œ $p:=[x,\: y,\: z]^{T}$๋ฅผ 2์ฐจ์› ์ด๋ฏธ์ง€ ํ‰๋ฉด์œผ๋กœ ํˆฌ์˜ํ•œ ์ขŒํ‘œ $s:=[f_{x},\: f_{y}]^{T}$๋Š” ๋‹ค์Œ๊ณผ ๊ฐ™์ด ํ‘œํ˜„ํ•  ์ˆ˜ ์žˆ๋‹ค(15).

(5)
$$s=\left[\begin{array}{l} \frac{x}{z} \\ \frac{y}{z} \end{array}\right]=\left[\begin{array}{c} \frac{u_{p}-c_{u}}{f \alpha} \\ \frac{v_{p}-c_{v}}{f} \end{array}\right]$$

์—ฌ๊ธฐ์„œ $u_{p}$์™€ $v_{p}$๋Š” ์ด๋ฏธ์ง€ ๊ณต๊ฐ„์—์„œ ํ”ฝ์…€ ๋‹จ์œ„๋กœ ํ‘œํ˜„๋˜๋Š” ์ ์˜ ์ขŒํ‘œ์ด๊ณ , $c_{u}$, $c_{v}$, $f$, $\alpha$๋Š” ์นด๋ฉ”๋ผ ๋‚ด๋ถ€์˜ ๊ณ ์œ  ๋ณ€์ˆ˜๋“ค์ด๋‹ค. ์ด๋•Œ $s$์™€ ์นด๋ฉ”๋ผ์˜ ์„ ์†๋„์™€ ๊ฐ์†๋„๋ฅผ ํฌํ•จํ•œ ์†๋„๋ณ€์ˆ˜ $v_{c}:=[\dot p_{c},\: w_{c}]$์™€์˜ ๊ด€๊ณ„๋ฅผ ๋‹ค์Œ๊ณผ ๊ฐ™์ด ๋‚˜ํƒ€๋‚ผ ์ˆ˜ ์žˆ๋‹ค.

(6)
$\dot s =L_{o}v_{c}$

์—ฌ๊ธฐ์„œ ์ƒํ˜ธ๊ด€๊ณ„ ํ–‰๋ ฌ $L_{o}$๋Š”

(7)
$$L_{o}=\left[\begin{array}{cccccc} -\frac{1}{z} & 0 & \frac{f_{x}}{z} & f_{x} f_{y} & -\left(1+f_{x}^{2}\right) & f_{y} \\ 0 & -\frac{1}{z} & \frac{f_{y}}{z} & 1+f_{y}^{2} & -f_{x} f_{y} & -f_{x} \end{array}\right]$$

์ด๋‹ค. ์ž์œ ๋กญ๊ฒŒ ์›€์ง์ด๋Š” ์นด๋ฉ”๋ผ๋Š” ์—ฌ์„ฏ ๊ฐœ์˜ ์ž์œ ๋„๋ฅผ ๊ฐ–์ง€๋งŒ ์ „๋ฐฉํ–ฅ ์ด๋™๋กœ๋ด‡์— ๋ถ€์ฐฉ๋œ ์นด๋ฉ”๋ผ๋Š” ์„ธ ๊ฐœ์˜ ์ž์œ ๋„๋กœ ์ œํ•œ๋˜๊ณ , ์นด๋ฉ”๋ผ๊ฐ€ ์ „๋ฐฉํ–ฅ ์ด๋™๋กœ๋ด‡ ์ค‘์‹ฌ์— ๋ถ€์ฐฉ๋˜์–ด ์žˆ๋‹ค๊ณ  ๊ฐ€์ •ํ•˜๋ฉด

(8)
$$\left[\begin{array}{l} u \\ v \\ r \end{array}\right]=\left[\begin{array}{c} \dot p_{c x} \\ \dot p_{c z} \\ -w_{c y} \end{array}\right]$$

์™€ ๊ฐ™์€ ๊ด€๊ณ„๋ฅผ ์–ป์„ ์ˆ˜ ์žˆ๋‹ค. ๋”ฐ๋ผ์„œ ์‹(6)์„ ๊ฐ„๋žตํ•˜๊ฒŒ ์ •๋ฆฌํ•˜๋ฉด ๋‹ค์Œ๊ณผ ๊ฐ™๋‹ค.

(9)
$$\dot s=L_{c}\left[\begin{array}{l} u \\ v \\ r \end{array}\right]$$

์—ฌ๊ธฐ์„œ ๊ฐ„๋žตํ™”ํ•œ ์ƒํ˜ธ๊ด€๊ณ„ ํ–‰๋ ฌ $L_{c}$๋Š”

(10)
$$L_{c}=\left[\begin{array}{ccc} -\frac{1}{z} & \frac{f_{x}}{z} & 1+f_{x}^{2} \\ 0 & \frac{f_{y}}{z} & f_{x} f_{y} \end{array}\right]$$

์ด๋‹ค. ๋„ค ๊ฐœ์˜ ๋ชฉํ‘œ๋ฌผ์˜ ํŠน์ง•์  $s_{c}:=[s_{1},\: s_{2},\: s_{3,\:},\: s_{4}]^{T}$์„ ์˜์ƒ์—์„œ ๊ฒ€์ถœํ•˜๊ณ  ๋ชฉํ‘œ๋ฌผ์˜ ์›ํ•˜๋Š” ํŠน์ง•์  $s_{d}:=[s_{d1},\: s_{d2},\: s_{d3},\: s_{d4}]^{T}$์— ๋Œ€ํ•˜์—ฌ ์˜์ƒ ํŠน์ง•์  ์˜ค์ฐจ $e$$\in โ„^{8}$๋ฅผ

(11)
$e=s_{d}-s_{c}$

์™€ ๊ฐ™์ด ์ •์˜ํ•œ๋‹ค. ์ด๋•Œ ๋„ค ๊ฐœ์˜ ํŠน์ง•์ ์— ๋Œ€ํ•œ ์ƒํ˜ธ๊ด€๊ณ„ ํ–‰๋ ฌ๋“ค์„ ๋ชจ๋‘ ํฌํ•จํ•œ ์ƒํ˜ธ๊ด€๊ณ„ ํ–‰๋ ฌ $L_{s}:=[L_{c1},\: L_{c2},\: L_{c3},\: L_{c4}]^{T}$$\in โ„^{8\times 3}$์— ๋Œ€ํ•˜์—ฌ ์˜์ƒ ํŠน์ง•์  ์˜ค์ฐจ๋ฅผ 0์œผ๋กœ ์ˆ˜๋ ดํ•˜๊ธฐ ์œ„ํ•œ ์ „๋ฐฉํ–ฅ ์ด๋™๋กœ๋ด‡์˜ ์›ํ•˜๋Š” ์†๋„๋Š” ๋‹ค์Œ๊ณผ ๊ฐ™์ด ์„ค๊ณ„๋œ๋‹ค.

(12)
$$\left[\begin{array}{l} u_{d} \\ v_{d} \\ r_{d} \end{array}\right]=\widehat{L_{s}^{+}} K_{e}$$

์—ฌ๊ธฐ์„œ $\widehat{L_{s}^{+}}:=\left(\widehat{L_{s}^{T}} \widehat{L}_{s}\right)^{-1} L_{s}^{T} \in \mathbb{R}^{3 \times 8}$๋Š” ๋ฌด์–ด-ํŽœ๋กœ์ฆˆ ์˜์‚ฌ ์—ญํ–‰๋ ฌ์ด๊ณ (16), $K$$\in โ„^{8\times 8}$๋Š” ์˜์ƒ ํŠน์ง•์  ์˜ค์ฐจ์˜ ์ˆ˜๋ ด์†๋„๋ฅผ ๊ฒฐ์ •ํ•˜๋Š” ์–‘์˜ ์ •๋ถ€ํ˜ธ ํ–‰๋ ฌ(Positive definite matrix)์ด๋‹ค. ์ „๋ฐฉํ–ฅ ์ด๋™๋กœ๋ด‡์˜ ์†๋„๊ฐ€ ์‹(12)์˜ ์†๋„๋ฅผ ๋”ฐ๋ผ๊ฐ€๊ธฐ ์œ„ํ•˜์—ฌ ์†๋„ ์ถ”์ข… ์˜ค์ฐจ

(13)
$$e_{v}=\left[\begin{array}{l} u_{d} \\ v_{d} \\ r_{d} \end{array}\right]-\left[\begin{array}{l} u \\ v \\ r \end{array}\right]$$

์— ๋Œ€ํ•˜์—ฌ ์‹(1)์—์„œ ๋‹ค์Œ๊ณผ ๊ฐ™์€ ์ „๋ฐฉํ–ฅ ์ด๋™๋กœ๋ด‡์˜ ์ œ์–ด ์ž…๋ ฅ์„ ์ƒ์„ฑํ•œ๋‹ค.

(14)
$$\left[\begin{array}{l} E_{1} \\ E_{2} \\ E_{3} \end{array}\right]=\frac{R R_{a}}{k_{2} n}\left(G^{-1} H B\right)^{-1}\left(-G^{-1}\left[\begin{array}{c} r v \\ -r u \\ 0 \end{array}\right]+G^{-1} H B B^{T} \times\left(\frac{k_{2} k_{3}}{R_{a}}+b_{0}\right) \frac{n^{2}}{R^{2}}\left[\begin{array}{l} u \\ v \\ r \end{array}\right]+\left[\begin{array}{c} \dot u_{d} \\ \dot v_{d} \\ \dot r_{d} \end{array}\right]+v\right)$$

์œ„ ์‹์— ์˜ํ•ด ์‹(1)์€ ๋‹ค์Œ๊ณผ ๊ฐ™์ด ์ •๋ฆฌ๋œ๋‹ค.

(15)
$\dot e_{v}=-\upsilon$

์—ฌ๊ธฐ์„œ ์œ ์‚ฌ ์ž…๋ ฅ $\upsilon$๋ฅผ PI(Proportional-Integral) ์ œ์–ด๊ธฐ ํ˜•ํƒœ๋กœ ์„ค๊ณ„ํ•˜๋ฉด ๋‹ค์Œ๊ณผ ๊ฐ™๋‹ค.

(16)
$\upsilon =k_{p}e_{v}+\dfrac{k_{i}}{s}e_{v}$

์—ฌ๊ธฐ์„œ $k_{p}:=2\zeta w_{n}$์™€ $k_{i}:=w_{n}^{2}$๋Š” ์–‘์˜ ์ƒ์ˆ˜(Positive constant)์ด๋‹ค. $\zeta$์™€ $w_{n}$์„ ์ ์ ˆํžˆ ์„ค๊ณ„ํ•˜๋ฉด ์†๋„ ์ถ”์ข… ์˜ค์ฐจ๋Š”

(17)
$\ddot e_{v}+2\zeta w_{n}\dot e_{v}+w_{n}^{2}e_{v}=0$

์™€ ๊ฐ™์€ ์ด์ฐจ ๋ฏธ๋ถ„ ๋ฐฉ์ •์‹ ํ˜•ํƒœ์ด๋ฏ€๋กœ $e_{v}$๋Š” ์ ๊ทผ์ ์œผ๋กœ 0์— ์ˆ˜๋ ดํ•˜๊ฒŒ ๋œ๋‹ค. ๋”ฐ๋ผ์„œ ์ „๋ฐฉํ–ฅ ์ด๋™๋กœ๋ด‡์˜ ์†๋„ $u$, $v$, $r$์€ ๊ฐ๊ฐ $u_{d}$, $v_{d}$, $r_{d}$๋กœ ์ˆ˜๋ ดํ•˜๊ณ , ์ •์  ๋ชฉํ‘œ๋ฌผ ํŠน์ง•์ ๋“ค์— ๋Œ€ํ•˜์—ฌ ์‹(12)๋ฅผ ์‹(9)์— ๋Œ€์ž…ํ•˜๋ฉด ๋‹ค์Œ๊ณผ ๊ฐ™๋‹ค.

(18)
$\dot e =-L_{s}\hat L_{s}^{+}Ke$

์—ฌ๊ธฐ์„œ ์นด๋ฉ”๋ผ์™€ ๋ชฉํ‘œ๋ฌผ ์‚ฌ์ด์˜ ๊นŠ์ด(Depth) $z$๋ฅผ $e$๊ฐ€ 0์ผ ๋•Œ์˜ ๊ฐ’์ธ ์ƒ์ˆ˜๋กœ ์„ค์ •ํ•˜๋ฉด $L_{s}\hat L_{s}^{+}$๋Š” ํ•ญ์ƒ ์–‘์˜ ์ค€์ •๋ถ€ํ˜ธ ํ–‰๋ ฌ(Positive semidefinite matrix)์„ ๋งŒ์กฑํ•œ๋‹ค(15). ๋”ฐ๋ผ์„œ ์˜์ƒ ํŠน์ง•์  ์˜ค์ฐจ๋Š” (15)์—์„œ์™€ ๊ฐ™์ด ์ ๊ทผ์ ์ธ ์•ˆ์ •์„ฑ์„ ๋ณด์žฅํ•œ๋‹ค.

4. ๋ชจ์˜์‹คํ—˜

๋‹ค์ธต์ธ๊ณต์‹ ๊ฒฝ๋ง ๋™์—ญํ•™ ๋ชจ๋ธ์„ ํ†ตํ•ด ์–ป์€ ์†๋„ ์ •๋ณด๋“ค๋กœ ์ „๋ฐฉํ–ฅ ์ด๋™๋กœ๋ด‡์˜ ๋น„์ฃผ์–ผ ์„œ๋ณด์ž‰ ๋ชจ์˜์‹คํ—˜์„ ๊ตฌํ˜„ํ•จ์œผ๋กœ์จ ๋ณธ ๋…ผ๋ฌธ์—์„œ ์ œ์•ˆํ•œ ๊ธฐ๋ฒ•์˜ ํƒ€๋‹น์„ฑ์„ ๊ฒ€์ฆํ•œ๋‹ค. ์‹(12)์™€ (16)์—์„œ ์ œ์–ด๊ธฐ ์„ค๊ณ„ ํŒŒ๋ผ๋ฏธํ„ฐ๋Š” ํ‘œ 2์™€ ๊ฐ™์ด ์„ค๊ณ„ํ•œ๋‹ค.

ํ‘œ 2. ์ œ์–ด๊ธฐ ์„ค๊ณ„ ํŒŒ๋ผ๋ฏธํ„ฐ

Table 2. Controller design parameters

$K=\left[\begin{array}{ccc}0.20 & 0 & 0 \\ 0 & \ddots & 0 \\ 0 & 0 & 0.20\end{array}\right], \zeta=0.90, w_{n}=4.85$

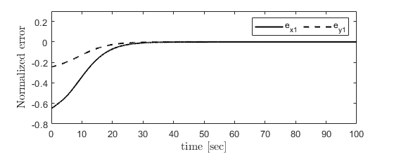
๊ทธ๋ฆผ 11์€ 3 ์ฐจ์› ๊ทธ๋ž˜ํ”„๋กœ ์ „๋ฐฉํ–ฅ ์ด๋™๋กœ๋ด‡์˜ ๋ชจ์…˜์„ ๋ณด์—ฌ์ค€๋‹ค. ์นด๋ฉ”๋ผ ์ขŒํ‘œ๊ณ„์—์„œ $z$์ถ• ๋ฐฉํ–ฅ์œผ๋กœ ์ดˆ๊ธฐ 2.5m ๋–จ์–ด์ง„ ๋ชฉํ‘œ๋ฌผ์˜ ์œ„์น˜์—์„œ ์‹œ์ž‘ํ•˜์—ฌ, ์ „๋ฐฉํ–ฅ ์ด๋™๋กœ๋ด‡์ด ๋ชฉํ‘œ์ ์œผ๋กœ๋ถ€ํ„ฐ ๊ฑฐ๋ฆฌ๊ฐ€ 0.35m์ผ ๋•Œ ์–ป์–ด์ง€๋Š” ํŠน์ง•์ ๋“ค์„ ๊ธฐ์ค€ ํŠน์ง•์ ๋“ค๋กœ ์„ค์ •ํ–ˆ๋‹ค. ํ™€๋กœ๋…ธ๋ฏนํ•œ ์ „๋ฐฉํ–ฅ ์ด๋™๋กœ๋ด‡์˜ ํŠน์ง•์œผ๋กœ ์ด๋™๊ถค์ ์ด ์ผ์ง์„ ์œผ๋กœ ๋‚˜ํƒ€๋‚จ์„ ํ™•์ธํ•  ์ˆ˜ ์žˆ๋‹ค. ๊ทธ๋ฆผ 12๋Š” ์นด๋ฉ”๋ผ ์˜์ƒ์—์„œ์˜ ํŠน์ง•์ ๋“ค์˜ ์ด๋™์„ ๋ณด์—ฌ์ค€๋‹ค. ์นด๋ฉ”๋ผ ์˜์ƒ์€ 640โจฏ480 ํฌ๊ธฐ๋ฅผ ๊ฐ€์ง„๋‹ค๊ณ  ๊ฐ€์ •ํ•˜๊ณ  ์‹œ์ž‘์ (Initial)์—์„œ ์ข…๋ฃŒ์ (Final)๊นŒ์ง€ ๋งค๋„๋Ÿฝ๊ฒŒ ์ด๋™ํ•จ์„ ํ™•์ธํ•  ์ˆ˜ ์žˆ๋‹ค. ๊ทธ๋ฆผ 13์€ ์†๋„ ์ถ”์ข… ์˜ค์ฐจ $e_{v}$์˜ ๋ณ€ํ™”๋ฅผ ๋ณด์—ฌ์ฃผ๋ฉฐ, ๊ฐ ์†๋„ ์ถ”์ข… ์˜ค์ฐจ๊ฐ€ ์ ๊ทผ์ ์œผ๋กœ 0์— ์ˆ˜๋ ด์„ ํ™•์ธํ•  ์ˆ˜ ์žˆ๋‹ค. ๊ทธ๋ฆผ 14-17์€ ๋„ค ๊ฐœ์˜ ์ •๊ทœํ™”(Normalized)๋œ ํŠน์ง•์  ์˜ค์ฐจ๋“ค์„ ๋ณด์—ฌ์ฃผ๋ฉฐ, ๊ฐ๊ฐ์˜ ๊ทธ๋ฆผ์—์„œ $x$์ถ•๊ณผ $y$์ถ• ํŠน์ง•์  ์˜ค์ฐจ๋“ค์ด 0์œผ๋กœ ์ˆ˜๋ ดํ•จ์„ ํ™•์ธํ•  ์ˆ˜ ์žˆ๋‹ค. ์ด๋Ÿฌํ•œ ๋ชจ์˜์‹คํ—˜ ๊ฒฐ๊ณผ๋ฅผ ํ†ตํ•ด ์ „๋ฐฉํ–ฅ ์ด๋™๋กœ๋ด‡์˜ ๋‹ค์ธต์ธ๊ณต์‹ ๊ฒฝ๋ง ๋™์—ญํ•™์„ ์ด์šฉํ•œ ์˜์ƒ๊ธฐ๋ฐ˜ ๋น„์ฃผ์–ผ ์„œ๋ณด์ž‰ ์ œ์–ด๊ธฐ๊ฐ€ ์ž˜ ๋™์ž‘ํ•จ์„ ํ™•์ธํ•  ์ˆ˜ ์žˆ๋‹ค.

๊ทธ๋ฆผ. 11. ์ „๋ฐฉํ–ฅ ์ด๋™๋กœ๋ด‡์˜ 3 ์ฐจ์› ๋ชจ์…˜

Fig. 11. 3D motion of omnidirectional mobile robot

../../Resources/kiee/KIEE.2020.69.4.594/fig11.png

๊ทธ๋ฆผ. 12. ์นด๋ฉ”๋ผ ์˜์ƒ์—์„œ์˜ ๋„ค ๊ฐœ์˜ ํŠน์ง•์ ๋“ค

Fig. 12. Four feature points in camera view

../../Resources/kiee/KIEE.2020.69.4.594/fig12.png

๊ทธ๋ฆผ. 13. ์†๋„ ์ถ”์ข… ์˜ค์ฐจ

Fig. 13. Velocity tracking errors

../../Resources/kiee/KIEE.2020.69.4.594/fig13.png

๊ทธ๋ฆผ. 14. ์ฒซ ๋ฒˆ์งธ ํŠน์ง•์ ์˜ ๊ฐ ์ถ•๋ณ„ ์˜ค์ฐจ๋“ค

Fig. 14. Errors of the first feature point

../../Resources/kiee/KIEE.2020.69.4.594/fig14.png

๊ทธ๋ฆผ. 15. ๋‘ ๋ฒˆ์งธ ํŠน์ง•์ ์˜ ๊ฐ ์ถ•๋ณ„ ์˜ค์ฐจ

Fig. 15. Errors of the second feature point

../../Resources/kiee/KIEE.2020.69.4.594/fig15.png

๊ทธ๋ฆผ. 16. ์„ธ ๋ฒˆ์งธ ํŠน์ง•์ ์˜ ๊ฐ ์ถ•๋ณ„ ์˜ค์ฐจ

Fig. 16. Errors of the third feature point

../../Resources/kiee/KIEE.2020.69.4.594/fig16.png

๊ทธ๋ฆผ. 17. ๋„ค ๋ฒˆ์งธ ํŠน์ง•์ ์˜ ๊ฐ ์ถ•๋ณ„ ์˜ค์ฐจ

Fig. 17. Errors of the fourth feature point

../../Resources/kiee/KIEE.2020.69.4.594/fig17.png

5. ๊ฒฐ ๋ก 

๋ณธ ๋…ผ๋ฌธ์—์„œ๋Š” ๋‹ค์ธต์ธ๊ณต์‹ ๊ฒฝ๋ง์„ ์ด์šฉํ•œ ์ „๋ฐฉํ–ฅ ์ด๋™๋กœ๋ด‡์˜ ์†๋„์„ผ์„œ๊ฐ€ ์—†๋Š” ์˜์ƒ๊ธฐ๋ฐ˜ ๋น„์ฃผ์–ผ ์„œ๋ณด์ž‰์„ ์ œ์•ˆํ•œ๋‹ค. ์ „๋ฐฉํ–ฅ ์ด๋™๋กœ๋ด‡์˜ ๋™์—ญํ•™์„ ๋‹ค์ธต์ธ๊ณต์‹ ๊ฒฝ๋ง ๋ชจ๋ธ๋กœ ํ•™์Šตํ•จ์œผ๋กœ์จ ๊ธฐ์ค€ ๋™์—ญํ•™ ๋ชจ๋ธ์˜ ๋™ํŠน์„ฑ์„ ๋น„๊ต์  ์ •ํ™•ํžˆ ๋ฌ˜์‚ฌํ•˜๋Š” ๋™์—ญํ•™ ๋ชจ๋ธ์„ ์–ป์—ˆ๋‹ค. ์ด๋Ÿฌํ•œ ๋‹ค์ธต์ธ๊ณต์‹ ๊ฒฝ๋ง ๋™์—ญํ•™ ๋ชจ๋ธ์„ ์‘์šฉํ•˜๋Š” ๋ฐฉ๋ฒ• ์ค‘์˜ ํ•˜๋‚˜๋กœ, ์ „๋ฐฉํ–ฅ ์ด๋™๋กœ๋ด‡์˜ ์˜์ƒ๊ธฐ๋ฐ˜ ๋น„์ฃผ์–ผ ์„œ๋ณด์ž‰ ์ œ์–ด๊ธฐ๋ฅผ ์„ค๊ณ„ํ•  ๋•Œ ํ•„์š”ํ•œ ์ „๋ฐฉํ–ฅ ์ด๋™๋กœ๋ด‡์˜ ์†๋„ ์ •๋ณด๋ฅผ ๋‹ค์ธต์ธ๊ณต์‹ ๊ฒฝ๋ง ๋™์—ญํ•™ ๋ชจ๋ธ๋กœ๋ถ€ํ„ฐ ์–ป์—ˆ๋‹ค. ๋‹ค์ธต์ธ๊ณต์‹ ๊ฒฝ๋ง ๋™์—ญํ•™ ๋ชจ๋ธ์€ ๋ณต์žกํ•œ ์ „๋ฐฉํ–ฅ ์ด๋™๋กœ๋ด‡ ๋™์—ญํ•™์— ํฌํ•จ๋œ ํŒŒ๋ผ๋ฏธํ„ฐ๋“ค์„ ๊ฐœ๋ณ„์ ์œผ๋กœ ์‹๋ณ„ํ•˜์ง€ ์•Š๊ณ , ์ „๋ฐฉํ–ฅ ์ด๋™๋กœ๋ด‡์˜ ์ž…์ถœ๋ ฅ ๋ฐ์ดํ„ฐ๋งŒ์„ ๊ฐ€์ง€๊ณ  ํ•™์Šตํ•˜๊ธฐ ๋•Œ๋ฌธ์— ์‰ฝ๊ฒŒ ์ „๋ฐฉํ–ฅ ์ด๋™๋กœ๋ด‡ ๋™์—ญํ•™ ๋ชจ๋ธ์˜ ์„ฑ๋Šฅ์„ ์œ ์ง€ ํ•  ์ˆ˜ ์žˆ๋‹ค. ๋”์šฑ์ด ๋ชจ์…˜ ์บก์ณ ์žฅ์น˜๋กœ ์–ป์€ ์‹ค์ œ ์†๋„ ๊ฐ’์„ ๋Œ€์ƒ์œผ๋กœ ํ•™์Šตํ•˜๊ธฐ ๋•Œ๋ฌธ์— ํ•™์Šต ๊ฒฐ๊ณผ๋กœ ์–ป์€ ์†๋„๋Š” ๋น„๊ต์  ์ •ํ™•ํ•œ ๊ฐ’์„ ์–ป์„ ์ˆ˜ ์žˆ๋‹ค. ๋ณธ ๋…ผ๋ฌธ์—์„œ ์ œ์•ˆํ•œ ๋ฐฉ๋ฒ•์„ ๊ฒ€์ฆํ•˜๊ธฐ ์œ„ํ•ด ๋ชจ์˜์‹คํ—˜์„ ์ˆ˜ํ–‰ํ•˜์˜€๊ณ , ๋ชจ์˜์‹คํ—˜ ๊ฒฐ๊ณผ๋ฅผ ํ†ตํ•ด ๋ณธ ๋…ผ๋ฌธ์—์„œ ์ œ์•ˆํ•œ ๋ฐฉ๋ฒ•์œผ๋กœ ์ „๋ฐฉํ–ฅ ์ด๋™๋กœ๋ด‡์˜ ์˜์ƒ๊ธฐ๋ฐ˜ ๋น„์ฃผ์–ผ ์„œ๋ณด์ž‰์— ํ™œ์šฉํ•  ์ˆ˜ ์žˆ์Œ์„ ํ™•์ธํ•˜์˜€๋‹ค.

Acknowledgements

๋ณธ ์—ฐ๊ตฌ๋Š” ํ•œ๊ตญ์ „๋ ฅ๊ณต์‚ฌ์˜ ์‚ฌ์™ธ๊ณต๋ชจ ๊ธฐ์ดˆ์—ฐ๊ตฌ(๊ฐœ๋ณ„)์— ์˜ํ•ด ์ง€์›๋˜์—ˆ์Œ(๊ณผ์ œ๋ฒˆํ˜ธ: R19XO01-21)

References

1 
S. Guo, Q. Diao, F. Xi, Jan 2017, Vision based navigation for omni-directional mobile industrial robot, Procedia Comput. Sci., Vol. 105, pp. 20-26Google Search
2 
J. Qian, B. Zi, D. Wang, Y. Ma, D. Zhang, Sep 2017, The design and development of an omni-directional mobile robot oriented to an intelligent manufacturing system, Sensors, Vol. 17, No. 9DOI
3 
A. S. Conceicao, A. P. Moreira, P. J. Costa, 2006, Model identification of a four wheeled omni-directional mobile robot, in Proc. 7th Portuguese Conf. Autom. Control, pp. 1-2Google Search
4 
S. Chen, S. A. Billings, Aug 1992, Neural networks for nonlinear dynamic system modelling and identification, Int. J. Control, Vol. 56, pp. 319-346DOI
5 
S. Piche, J. Keeler, G. Martin, G. Boe, D. Johnson, M. Gerules, 1999, Neural network based model predictive control, in NIPS, pp. 1029-1035Google Search
6 
F. Nardi, 2000, Neural network based adaptive algorithms for nonlinear control, Ph.D. dissertation, School Aerosp. Eng., Geogia Inst. Technol., Atlanta, GA, USAGoogle Search
7 
C.-L. Li, M.-Y. Cheng, W.-C. Chang, Jan 2018, Dynamic performance improvement of direct image-based visual servoing in contour following, Int. J. Adv. Robot. Syst., Vol. 15, No. 1, pp. 486-505DOI
8 
R. L. Williams, B. E. Carter, P. Gallina, G. Rosati, Jan 2002, Dynamic model with slip for wheeled omnidirectional robots, IEEE Trans. Robot. Autom., Vol. 18, No. 3, pp. 285-293DOI
9 
A. Saenz, V. Santibanez, E. Bugarin, Apr 2018, Image based visual servoing for omnidirectional wheeled mobile robots in voltage mode, Int. J. Eng. Res., Vol. 4, No. 4, pp. 48-53Google Search
10 
J. E. C. Ortiz, 2012, Visual servoing for an omnidirectional mobile robot using the neural network - multilayer perceptron, 2012 WEA, Vol. bogota, pp. 1-6DOI
11 
Y. Liu, J. J. Zhu, R. L. Williams, J. Wu, May 2008, Omni- directional mobile robot controller based on trajectory linearization, Robot. Autom. Syst., Vol. 56, No. 5, pp. 461-479DOI
12 
Byung-ryong Lee, 2012, Focusing on the fuzzy neural network control Matlab/Simulink, Ulsan University Press, Vol. , pp. 157-170Google Search
13 
E. W. Weistein, , Levenberg-marquardt method, From MathWorld -A Wolfram Web Resource. [Online]. Available: http://mathworld. wolfarm.com/Levenberg-MarquardtMethod.htmlGoogle Search
14 
M. T. Hagan, M. B. Menhaj, Nov 1994, Training feedforward networks with the marquardt algorithm, IEEE Trans. Neural Netw., Vol. 5, No. 6, pp. 989-993DOI
15 
F. Chaumette, S. Hutchinson, Dec 2006, Visual servo control, part 1: basic approaches, IEEE Robot. Automat. Mag., Vol. 13, No. 4, pp. 82-90DOI
16 
R. Macausland, 2014, The moore-penrose inverse and least squares, Math 420: Advanced Topics in Linear Algebra, Univ. Puget Sound, Tacoma, WA, USA, pp. 1-10Google Search

์ €์ž์†Œ๊ฐœ

๋ถ€์ค€์„ (Junseok Boo)
../../Resources/kiee/KIEE.2020.69.4.594/au1.png

Junseok Boo received the B.S. and M.S. degrees in electrical and computer engineering from Ajou University, Suwon, Korea, in 2018 and 2020, respectively, where he is currently working toward the Ph.D. degree.

Tel : 031-219-2489

Fax : 031-212-9531

E-mail : tghn01@ajou.ac.kr

์ขŒ๋™๊ฒฝ (Dongkyoung Chwa)
../../Resources/kiee/KIEE.2020.69.4.594/au2.png

Dongkyoung Chwa received the B.S. and M.S. degrees in control and instrumentation engineering and the Ph.D. degree in electrical and computer engineering from Seoul National University, Seoul, Korea, in 1995, 1997, and 2001, respectively.

Since 2005, he has been with the Department of Electrical and Computer Engineering, Ajou University, Suwon, Korea, where he is currently a Professor.

Tel : 031-219-1815

Fax : 031-212-9531

E-mail : dkchwa@ajou.ac.kr