์ก๋ฏผ์ญ
(Min-Sup Song)
โ iD
๊น์ฌ์
(Jaewon Kim)
1
์กฐํํฌ
(Hwan-Hee Cho)
1
๊นํ์ฒ
(Hyungchul Kim)
1
์ ํธ์ฑ
(Hosung Jung)
1
-
(Korea Railroad Research Institute (KRRI), Republic of Korea.)
Copyright ยฉ The Korea Institute for Structural Maintenance and Inspection
Key words
MNRV DPWM, Diode-Clamped, Multilevel, Voltage Balancing, AC/DC, DC/AC, DC/DC
1. ์ ๋ก
๋ฉํฐ๋ ๋ฒจ ์ปจ๋ฒํฐ๋ ๋ํ์ ์ผ๋ก ๋ค์ด์ค๋ ํด๋จํํ, ํ๋ผ์ ์ปคํจ์ํฐํ, ์บ์ค์ผ์ด๋ H-๋ธ๋ฆฟ์งํ ๋ฐฉ์์ด ์กด์ฌํ๋ค. ํ๋ผ์ ์ปคํจ์ํฐํ์ ๋ณ๋์ ์ด๊ธฐ ์ถฉ์
ํ๋ก๊ฐ ํ์ํ์ฌ ๋ณต์กํ๊ณ , ์บ์ค์ผ์ด๋ H-๋ธ๋ฆฟ์งํ์ ๋
๋ฆฝ๋ ๋ค์์ ์ง๋ฅ ์ ์์ด ํ์ํด ๋น์ฉ๊ณผ ๋ณต์ก์ฑ์ด ๋๋ค. ๋ฐ๋ฉด ๋ค์ด์ค๋ ํด๋จํํ์ ํ๋์ ์ ์๊ณผ
์๋์ ์ผ๋ก ์ฐ๊ฒฐ๋ ์ง๋ ฌ ์ปคํจ์ํฐ๋ฅผ ์ฌ์ฉํ๋ฏ๋ก ๊ตฌ์กฐ๊ฐ ๋จ์ํ์ฌ ์ ํธ๋๋ค. ๋ฉํฐ๋ ๋ฒจ ๊ตฌ์กฐ๋ ์ถ๋ ฅ ์ ์์ ๊ณ ์กฐํ๋ฅผ ํจ๊ณผ์ ์ผ๋ก ๊ฐ์์์ผ ์ ๋ ฅ ํ์ง์ ํฅ์ํ๊ณ ,
๋์ ์ ์๊ณผ ์ถ๋ ฅ์ผ๋ก์ ํ์ฅ์ฑ์ด ์ข์ผ๋ฉฐ, ๋ฎ์ ์ค์์นญ ์ฃผํ์ ๋ฐ ๋ฎ์ dv/dt ํน์ฑ์ผ๋ก EMI ๋ฐ ์ค์์นญ ์์ค์ ์ค์ผ ์ ์๋ค. ์ด๋ก ์ธํด ํ์๊ด,
ํ๋ ฅ ๋ฑ ์ฌ์์๋์ง ๊ณํต ์ฐ๊ณ์ ๊ณ ์ถ๋ ฅ ๋ชจํฐ ๊ตฌ๋, ์ฐ์
ํ์ฅ์ ์ญ๋ฅ ๊ฐ์ ๋ฐ ๊ณ ์กฐํ ์ ๊ฐ ๋ถ์ผ์์ ํ๋ฐํ ์ด์ฉ๋๋ค[1-5].
๊ทธ๋ฌ๋ ๋ฉํฐ๋ ๋ฒจ ์ปจ๋ฒํฐ์์ 4๋ ๋ฒจ ์ด์์ผ๋ก ๊ฐ๋ฉด DC ๋งํฌ ์ปคํจ์ํฐ์ ์ ์ ๋ถ๊ท ํ ๋ฌธ์ ๊ฐ ๋ฐ์ํ์ฌ ์์ ์ ์ด์ ๋ฐ ์ฑ๋ฅ ์ ์ง๊ฐ ์ด๋ ค์์ง๋ค[6]. ์ด๋ฅผ ๊ทน๋ณตํ๊ธฐ ์ํ ๊ธฐ์กด ์ฐ๊ตฌ๋ ํฌ๊ฒ ๋ค ๊ฐ์ง ๋ฐฉ๋ฒ์ผ๋ก ๊ตฌ๋ถ๋๋ค.
โ ๋ณด์กฐ ์ ์ ๋ฐธ๋ฐ์ฑ ํ๋ก : ๋ณ๋์ ์ ์ ์์(์กํฐ๋ธ ์ค์์น, ์ดํผ ๋ฑ)๋ก ์ ์ ๊ท ํ์ ์ ์งํ๋, ๋ณต์กํ๊ณ ๋น์ฉ์ด ๋์ผ๋ฉฐ ๋น ๋ฅธ ๋ถํ ๋ณํ ๋์์ด
์ด๋ ต๋ค[7-9].
โ ๋ชจ๋ธ ์์ธก ์ ์ด (model predictive control, MPC) : ์์คํ
์ ๋ฏธ๋ ์ํ๋ฅผ ์์ธกํ์ฌ ์ต์ ํ๋ ์ ์ด๋ฅผ ์ํํ์ง๋ง ๊ณ์ฐ๋์ด
๋ง๊ณ ๋ชจ๋ธ๋ง ์ค์ฐจ๊ฐ ๋ฐ์ํ ์ ์๋ค[10-12].
โ ์ ํ์ ๊ณ ์กฐํ ์ ๊ฑฐ (selective harmonic elimination, SHE) : ํน์ ๊ณ ์กฐํ๋ฅผ ์ ๊ฑฐํ์ฌ ์ ์ ๊ท ํ์ ์ ์งํ์ง๋ง ๋ณต์กํ
์์๊ณผ ๊ณ์ฐ ๋ถ๋ด์ด ํฌ๋ค[13,14].
โ AI ๊ธฐ๋ฐ ์ ์ด: ์ธ๊ณต์ง๋ฅ ๊ธฐ์ ์ ์ด์ฉํ ํจ์จ์ ์ ์ด๊ฐ ๊ฐ๋ฅํ๋ ๋ณต์กํ ํ๋ จ ๊ณผ์ ๊ณผ ํ๋์จ์ด ๊ตฌํ์ ์ด๋ ค์์ด ์๋ค[15-17].
์ถ๊ฐ์ ์ผ๋ก, ๊ณ ๋ํ๋ ๋ชจ๋๋ ์ด์
๊ธฐ๋ฒ์ ํ์ฉํ์ฌ ์ ์ ๋ฐธ๋ฐ์ฑ ๋ฌธ์ ๋ฅผ ํด๊ฒฐํ ์ ์๋ค. ๊ทธ ์ค VVPWM (virtual-vector PWM)๊ณผ
COPWM (carrier-overlapped PWM)์ ๋ค์ ๋ฉํฐ๋ ๋ฒจ PWM ์ธ๋ฒํฐ์ ์ฑ๊ณต์ ์ผ๋ก ์ ์ฉ๋์๋ค[18-25]. VVPWM์ ์ฐธ์กฐ ๋ฒกํฐ๋ฅผ ๊ด๋ จ ์ ๋ฅ ํฉ๊ณ๊ฐ 0์ธ ๊ฐ์ ๊ณต๊ฐ ๋ฒกํฐ๋ก ํ์ฅํ์ฌ ์บ๋ฆฌ์ด ๊ธฐ๊ฐ ๋ด ์ปคํจ์ํฐ ์ ์ ํธ์ฐจ๋ฅผ ๋น ๋ฅด๊ฒ ์ ๊ฑฐํ์ฌ ์ ์ ๋ฆฌํ์ด ์ต์ํ
๋๋ค. COPWM์ ๋จ์ผ ๋ช
๋ น ์ ์์ ์ด์ฉํ์ฌ ๊ธฐํ์ ์ผ๋ก ์ ๊ตํ๊ฒ ์ค๊ณ๋ ์ฌ๋ฌ ์ค์ฒฉ ์บ๋ฆฌ์ด๋ฅผ ์ฌ์ฉํ์ฌ ์ปคํจ์ํฐ์ ์ ์ ํธ์ฐจ๋ฅผ ํจ๊ณผ์ ์ผ๋ก ์ ๊ฑฐํ๊ณ ์ ์ยท์๊ฐ
(voltยทtime) ๊ณฑ์ ๋ณด์กดํ๋ค. ๊ทธ๋ฌ๋ ์์ ํ ํ๋ฃจํ ์ ์ด๋ฅผ ํ๊ธฐ ์ํด์๋ ์ ๋ก ์ํ์ค ์ ์ ๊ณ์ฐ์ด๋ ๋ค์ ๋ณต์กํ ๋ํฐ ๋ณด์ ์ค๊ณ๊ฐ ํ์ํ๋ค.
์์ ๋ ๊ฐ์ง ๋ฐฉ์์ ๋ค์ DC/AC ์ธ๋ฒํฐ๋ AC/DC ์ปจ๋ฒํฐ์ ์ ์ฉ ์, ๋ชจ๋๋ ์ด์
์ง์(m)๊ฐ ์ง๋์น๊ฒ ๋๊ฑฐ๋ ๋ฎ์ผ๋ฉด THD ์ฑ๋ฅ์ด ์ ํ๋๊ณ
์ค์์นญ ์์ค์ด ์ฆ๊ฐํ๋ ๋จ์ ์ด ์๋ค. ๋ํ ์ผ๋ฐ์ ์ผ๋ก ๋ค์ ๋ฉํฐ๋ ๋ฒจ ์ธ๋ฒํฐ์๋ ์ ํฉํ๋, ์ค์์นญ ์ฃผํ์๊ฐ ๋์ DC/DC ์ปจ๋ฒํฐ์ ์ง์ ์ ์ฉํ๊ธฐ์๋
ํ๊ณ๊ฐ ์๋ค. ํํธ, ์ต๊ทผ ์ ์๋ ๋ค์ค ์ธ์ ๊ธฐ์ค ๋ฒกํฐ ๋ถ์ฐ์ PWM (multi-neighboring reference vector discontinuous
PWM, MNRV DPWM) ๋ฐฉ์์ ์๋ก ๋ค๋ฅธ ์ถฉ์ ํน์ฑ์ ๊ฐ์ง ์ฌ๋ฌ ๊ฐ์ ์ธ์ ๊ธฐ์ค ์ ์ ๋ฒกํฐ๋ฅผ ์ฌ์ฉํ์ฌ DC ๋งํฌ ์ ์ ๋ถ๊ท ํ ๋ฌธ์ ๋ฅผ ํจ๊ณผ์ ์ผ๋ก
ํด๊ฒฐํ์๋ค[26]. ์ด ๋ฐฉ์์ ๋ชจ๋ ์ค๊ฐ ์ ์ ๋ฒกํฐ๋ฅผ ๊ท ํ ์๊ฒ ํ์ฉํจ์ผ๋ก์จ ์ปคํจ์ํฐ์ ์ถฉ์ ์ํ๋ฅผ ๊ท ๋ฑํ๊ฒ ์ ์งํ๋ฉฐ, ๊ฐ์ฅ ๋ฐ๊นฅ์ชฝ ์ ์ ๋ฒกํฐ๊ฐ ์ ๊ณตํ๋ ์ถ๊ฐ์ ์ธ
์์ ๋๋ฅผ ํ์ฉํ์ฌ ๋ช
๋ น ์ ์์ voltยทtime ์กฐ๊ฑด์ ๋ง์กฑ์ํจ๋ค. ๋ํ ์ปคํจ์ํฐ ์ ์์ ํธ์ฐจ์ ๋ฐ๋ผ ์กฐ์ ๋๋ ๋ํฐ ๋ณด์๊ธฐ๋ฅผ ์ ์ฉํ์ฌ ํ๋ฃจํ ์ ์ด๋ฅผ
๊ฐ์ํํ๊ณ , ์ด๋ฅผ ํตํด ์ปคํจ์ํฐ ์ ์ ๊ท ํ๊ณผ ์ ์ฒด ์์คํ
์ ์์ ์ฑ์ ํฅ์์ํจ๋ค. ์ด๋ฌํ ๋ฐฉ๋ฒ๋ก ์ ํ๋ธ๋ฆฟ์ง (Full-Bridge, FB) ๋ค์ด์ค๋
ํด๋จํ 4๋ ๋ฒจ LLC ๊ณต์ง ์ปจ๋ฒํฐ[26], ๋์นญํ ์ค์์นญ ์ปจ๋ฒํฐ[27], ๊ทธ๋ฆฌ๊ณ ๋ค์ํ LLC ๊ณต์ง ์ปจ๋ฒํฐ ๊ตฌ์ฑ[28,29]๊ณผ ๊ฐ์ ์ฌ๋ฌ DC/DC ์ปจ๋ฒํฐ ๋ถ์ผ๋ก๋ ํ์ฅ๋์๋ค.
ํนํ, FB ํ๋ก๋ฅผ ๋ ๊ฐ์ ๋์นญํ ํํ๋ธ๋ฆฌ์ง (Half-Bridge, HB)๋ก ํด์ํจ์ผ๋ก์จ, ์ด๋ฏธ ์ ์๋ ค์ง ์คํ์
์ ์ (Voffset)์ ์ฃผ์
ํ์ฌ ๋์นญํ FB ์ค์์นญ ์ปจ๋ฒํฐ๋ฅผ ๊ตฌํํ์๋ค[27]. ์ด ์ ๊ทผ๋ฒ์ ๋จ์ํ Voffset ์ฃผ์
์ ํตํด MNRV DPWM ๊ตฌํ์ ์ฉ์ดํ๊ฒ ํ๋ค[30,31]. ์ด ๊ฐ๋
์ ๋จ์, 3์ ์์คํ
์ผ๋ก ํ์ฅํ์ฌ, ์ต๊ทผ ๋ฉํฐ๋ ๋ฒจ PWM ์ธ๋ฒํฐ์ ๋ค์ํ ์ฐ์ ๋ฐ ๋ถ์ฐ์ ๋ณ์กฐ ๊ธฐ๋ฒ๋ค์ด ์๊ฐ๋ ๋ฐ ์๋ค[32,33]. ์ฆ, MNRV DPWM ๋ฐฉ์์ ์ปคํจ์ํฐ์ ์ถฉ๋ฐฉ์ ํน์ฑ์ ์ธ๋ฐํ ๊ณ ๋ คํ์ฌ DC ๋งํฌ ์ปคํจ์ํฐ ๊ฐ์ ์ ์ ํธ์ฐจ๋ฅผ ํจ๊ณผ์ ์ผ๋ก ์ ๊ฑฐํ๋ ๋์ผํ ์๋ฆฌ๋ฅผ
๊ธฐ๋ฐ์ผ๋ก ํ๊ณ ์๊ธฐ ๋๋ฌธ์, ๋ค์ด์ค๋ ํด๋จํ ๋ฉํฐ๋ ๋ฒจ ํ ํด๋ก์ง๋ฅผ ์ด์ฉํ DC/AC ๋ฐ AC/DC ๋ถ์ผ๋ฟ๋ง ์๋๋ผ DC/DC ๋ถ์ผ์๋ ํญ๋๊ฒ ํ์ฉ๋
์ ์๋ค.
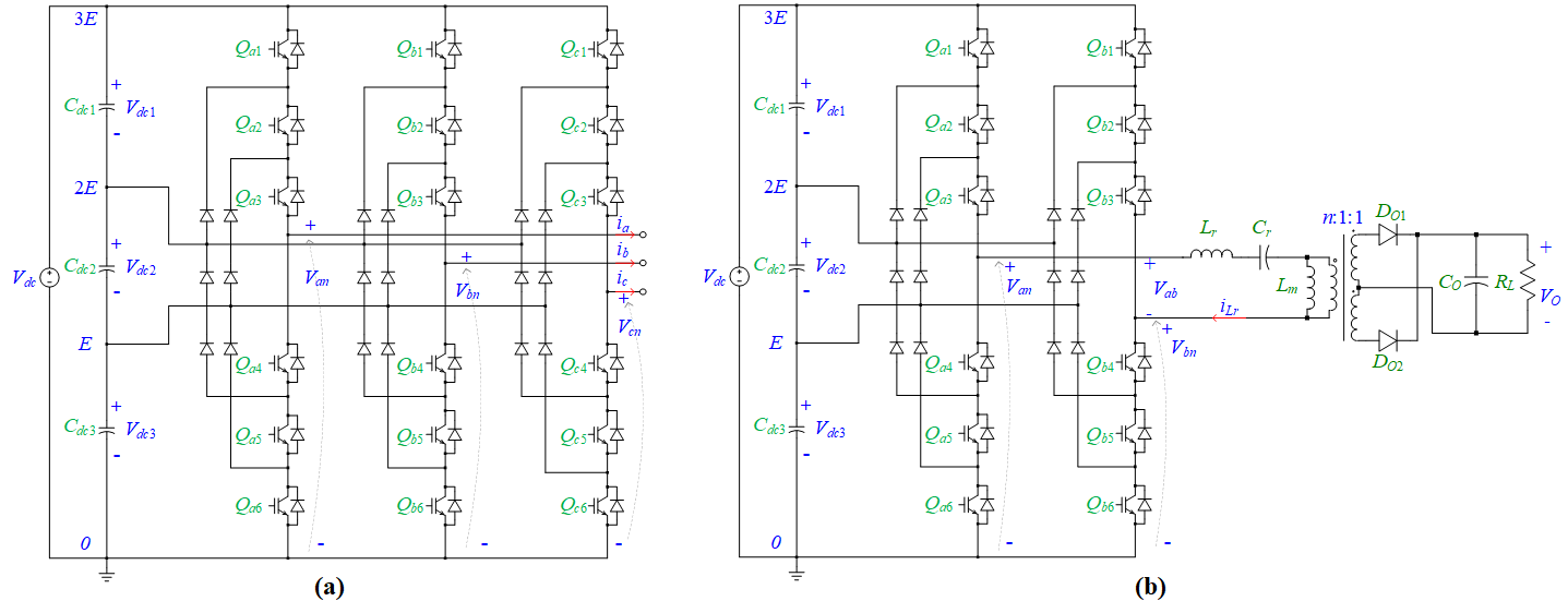
๊ทธ๋ฆผ 1. ๋ค์ด์ค๋ ํด๋จํ ๋ฐฉ์์ 4๋ ๋ฒจ ํ๋ก ํ ํด๋ก์ง : (a) 3์ PWM ์ธ๋ฒํฐ, (b) FB LLC ๊ณต์งํ ์ปจ๋ฒํฐ
Fig. 1. Diode-clamped four-level circuit topologies : (a) three-phase PWM inverter
and (b) FB LLC resonant converter
๋ณธ ๋
ผ๋ฌธ์์๋ ๋ฉํฐ๋ ๋ฒจ ๋ค์ด์ค๋ ํด๋จํ ํ ํด๋ก์ง์์ DC ๋งํฌ ์ ์์ ํจ๊ณผ์ ์ผ๋ก ์ ์ดํ ์ ์๋ MNRV DPWM ๋ฐฉ๋ฒ๋ก ์ ๋ค์ ํ๋ฒ ๋ช
ํํ ์ ๋ฆฌํ๊ณ ,
์ด๋ฅผ 3์ ์ธ๋ฒํฐ์ FB ๊ณต์งํ ์ปจ๋ฒํฐ์ ๊ฐ๊ฐ ์ ์ฉํ์ฌ ๊ตฌํ์์ ํน์ง๊ณผ ์ฐจ์ด์ ์ ๋ถ์ํ์ฌ, ์ค๊ณ ๋ฐ ์ ์ฉ ๊ณผ์ ์์ ์ ์ํด์ผ ํ ์ฌํญ๋ค์ ์ดํด๋ณด๊ณ ์
ํ๋ค.
2์ฅ์์๋ MNRV DPWM์ ๋์ ์๋ฆฌ๋ฅผ ์์ธํ ์ค๋ช
ํ๋ฉฐ, 3์ฅ์์๋ ์ด๋ฅผ 3์ ์ธ๋ฒํฐ์ ์ ์ฉํ ์ฌ๋ก๋ฅผ ๋ถ์ํ๋ค. ์ด์ด์ 4์ฅ์์๋ MNRV DPWM์
FB LLC ๊ณต์งํ ์ปจ๋ฒํฐ์ ์ ์ฉํ ์ฌ๋ก๋ฅผ ์ดํด๋ณด๊ณ , ๊ธฐ์กด ๋ฐฉ์๊ณผ์ ์ฐจ์ด์ ๋ถ์์ ํตํด MNRV DPWM ๊ธฐ๋ฐ ๋ค์ด์ค๋ ํด๋จํ ๋ฐฉ์์ด DC/DC ์ปจ๋ฒํฐ
๋ถ์ผ์ ์ ์ฉ๋ ๊ฐ๋ฅ์ฑ์ ํ๊ฐํ๋ค. 5์ฅ์์๋ ์ค์ ๋ก ์ ์ํ 3์ ์ธ๋ฒํฐ ๋ฐ FB LLC ๊ณต์งํ ์ปจ๋ฒํฐ ํ๋กํ ํ์
์ ๋ํ ์คํ ๊ฒฐ๊ณผ๋ฅผ ๋ถ์ํ๋ฉฐ, ๋ง์ง๋ง์ผ๋ก
6์ฅ์์ ๋ณธ ๋
ผ๋ฌธ์ ์ฃผ์ ๊ฒฐ๊ณผ์ ์์๋ฅผ ์ ๋ฆฌํ๋ค.
2. MNRV DPWM ๋์ ์๋ฆฌ [26-29, 32, 33]
2.1 4๋ ๋ฒจ ๋ค์ด์ค๋ ํด๋จํ ํ๋ก์ MNRV DPWM ๊ธฐ๋ณธ ์๋ฆฌ
๊ทธ๋ฆผ 1์ ๋ณธ ๋
ผ๋ฌธ์์ ์ ์ํ ๋ค์ด์ค๋ ํด๋จํ 4๋ ๋ฒจ 3์ PWM ์ธ๋ฒํฐ(๊ทธ๋ฆผ 1(a))์ FB LLC ๊ณต์งํ ์ปจ๋ฒํฐ(๊ทธ๋ฆผ 1(b))์ ํ๋ก ๊ตฌ์ฑ์ ๋ํ๋ธ๋ค. DC ๋งํฌ๋จ์ ์ง๋ ฌ๋ก ์ฐ๊ฒฐ๋ 3๊ฐ์ ์ปคํจ์ํฐ(Cdc1, Cdc2, Cdc3)์ ์ ์์ Vdc๋ก ๊ตฌ์ฑ๋๋ค. ๊ฐ ์์ ์ค์์นญ๋จ์ Qx1๋ถํฐ Qx6๊น์ง (์ฌ๊ธฐ์ x = a, b, c)์ ์ค์์น ๊ทธ๋ฃน๊ณผ, DC ๋งํฌ์ ๊ฐ ๊ณ๋จ ์ ์์ ์ค์์นญ ๋
ธ๋์ ์ฐ๊ฒฐํ๋ ํด๋จํ ๋ค์ด์ค๋๋ก ์ด๋ฃจ์ด์ ธ ์๋ค. ๊ฐ ์์
์ถ๋ ฅ๋จ์ ๋ถํ ๋๋ ๊ณต์ง ํฑํฌ๋จ๊ณผ ์ฐ๊ฒฐ๋๋ฉฐ, ์ถ๋ ฅ ์ ์์ Vxn์ผ๋ก ๋ํ๋ด๊ณ , ์ถ๋ ฅ ์ ๋ฅ๋ ์ธ๋ฒํฐ์ ๊ฒฝ์ฐ ix, ์ปจ๋ฒํฐ์ ๊ฒฝ์ฐ iLr๋ก ํ์ํ๋ค. ํ 1์ 4๋ ๋ฒจ ๋ค์ด์ค๋ ํด๋จํ ํ ํด๋ก์ง์์ ์ค์์นญ ์ํ์ ๋ฐ๋ฅธ ๋จ์ ๋ ๊ทธ๋น ์ถ๋ ฅ ์ ์์ ์ ๋ฆฌํ ๊ฒ์ด๋ค. ์ฌ๊ธฐ์ Qx1๊ณผ Qx4, Qx2์ Qx5, Qx3์ Qx6์ ์๋ก ์๋ณด์ ์ธ ๊ด๊ณ๋ฅผ ๊ฐ๋๋ค.
ํ 1 ๋ค์ด์ค๋ ํด๋จํ 4๋ ๋ฒจ ํ ํด๋ก์ง์์์ ๊ณ๋จ์ ์ถ๋ ฅ ์ ์
Table 1 Stepped output voltageof the diode-clamped four-level topology
|
Qx1
|
Qx2
|
Qx3
|
Qx4
|
Qx5
|
Qx6
|
Vxn
|
|
ON
|
ON
|
ON
|
OFF
|
OFF
|
OFF
|
3E
|
|
OFF
|
ON
|
ON
|
ON
|
OFF
|
OFF
|
2E
|
|
OFF
|
OFF
|
ON
|
ON
|
ON
|
OFF
|
E
|
|
OFF
|
OFF
|
OFF
|
ON
|
ON
|
ON
|
0
|
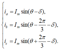
3์ ์์คํ
์์ ๊ธฐ์ค ์ ์ (๋ช
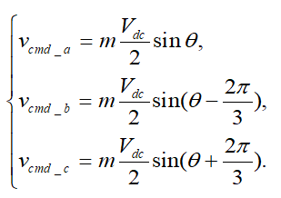
๋ น ์ ์) vcmd_x (x = a, b, c)๋ ์ (1)์์์ ๊ฐ์ด ๊ฐ ์ ๊ฐ์ 120ยฐ์ ์์์ฐจ๋ฅผ ๊ฐ์ง๋ค. ์ฌ๊ธฐ์, ฮธ๋ ๊ฐ ์์ ๋ํ ์์๊ฐ์ผ๋ก์จ ฮธ=ฯt์ ํด๋นํ๋ค. MNRV (D)PWM์ ์ฌ์ฉ๋๋
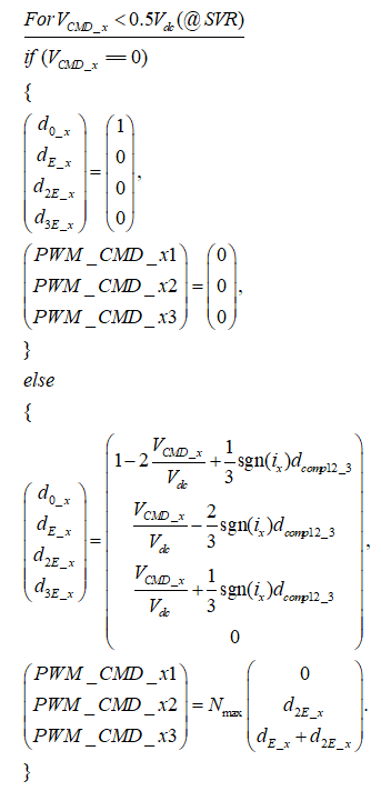
๊ธฐ์ค ์ ์ VCMD_x๋ ์ (2)์ ๊ฐ์ด ๋ช
๋ น ์ ์ vcmd_x์ ์คํ์
์ ์ Voffset๊ณผ ์ ๊ทํ ์ ์ 0.5Vdc๋ฅผ ๋ํ์ฌ ์ป๋๋ค. ์ฌ๊ธฐ์ Voffset์ ๋ณ์กฐ ๋ฐฉ์์ ๋ฐ๋ผ ๋ค์ํ ํํ๋ฅผ ์ทจํ ์ ์๋ค.
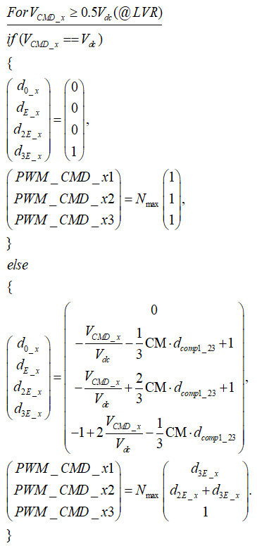
๊ทธ๋ฆผ 2๋ ์ ํํ PWM (Sinusoidal PWM, SPWM) ์ ์ฉํ 3์ ๋ค์ด์ค๋ ํด๋จํ 4๋ ๋ฒจ PWM ์ธ๋ฒํฐ์์์ MNRV (D)PWM ๊ตฌํ ์๋ฅผ
๋ณด์ฌ์ค๋ค. MNRV (D)PWM์ ์ค์ฌ์ ๊ฐ์ ๋ฒกํฐ๋ฅผ ๊ธฐ์ค์ผ๋ก ๋์นญ์ ์ ์งํ๋ฉฐ, VCMD_x์ ํฌ๊ธฐ์ ๋ฐ๋ผ ํฌ๊ฒ ๋ ์์ญ์ผ๋ก ๊ตฌ๋ถ๋๋ค. ์ฆ, VCMD_xโฅ0.5Vdc์ธ ๊ฒฝ์ฐ ํฐ ๋ฒกํฐ ์์ญ (large vector region, LVR)์ผ๋ก, VCMD_x<0.5Vdc์ธ ๊ฒฝ์ฐ ์์ ๋ฒกํฐ ์์ญ (small vector region, SVR)์ผ๋ก ๊ตฌ๋ถ๋๋ค. DC ๋งํฌ ์ปคํจ์ํฐ ์ ์์ ๊ท ํ ์ ์ด๋ฅผ ์ํด์๋ ์ปคํจ์ํฐ์
์ถฉยท๋ฐฉ์ ์ ์ํฅ์ ์ฃผ๋ ๋ชจ๋ ๊ธฐ์ค ์ ์ ๋ฒกํฐ๋ฅผ ๊ท ์ผํ๊ฒ ํ์ฉํ๋ ๊ฒ์ด ๋งค์ฐ ์ค์ํ๋ค. ์ด๋ ๊ฐ์ฅ ๋ฐ๊นฅ์ชฝ ์ ์ ๋ ๋ฒจ์ธ 0๊ณผ 3E๋ฅผ ์ ์ธํ ์ค๊ฐ ๋ ๋ฒจ์
์ ์ ๋ฒกํฐ๋ค์ ๊ณจ๊ณ ๋ฃจ ์ฌ์ฉํ๋ ๊ฒ์ ์๋ฏธํ๋ค. ๋ํ ๋ช
๋ น ์ ์์ voltยทtime ์กฐ๊ฑด์ ๋ง์กฑ์ํค๊ธฐ ์ํด ์์ ๋๋ฅผ ๊ฐ์ง ์ถ๊ฐ์ ์ธ ์ ์ ๋ฒกํฐ๊ฐ ํฌํจ๋์ด์ผ
ํ๋ค. ๋ฐ๋ผ์ LVR์์๋ MNRV๋ก E, 2E, 3E ๋ฒกํฐ๊ฐ ์ ํ๋๊ณ , SVR์์๋ 0, E, 2E ๋ฒกํฐ๊ฐ ์ ํ๋๋ค. ์ฌ๊ธฐ์ 0, E, 2E, 3E
๋ฒกํฐ๋ ๊ฐ๊ฐ 0, Vdc/3, 2Vdc/3, Vdc๋ฅผ ์๋ฏธํ๋ฉฐ, ๊ฐ ๊ณ๋จ ์ ์ ์๋์ ํ๊ธฐ๋ C ๋๋ D๋ DC ๋งํฌ๋จ์ ์ปคํจ์ํฐ ์ถฉ์ (Charging)/๋ฐฉ์ (Discharging) ์ํ๋ฅผ ๋ํ๋ธ๋ค.
์๋ฅผ ๋ค์ด ์ ๋ฅ๊ฐ ์์ (ix>0)์ผ ๋ 2E์ ์ปคํจ์ํฐ ์ถฉ์ ์ํ๋ CDD์ด๋ฉฐ, ์ด๋ Cdc1์ด 2/3รix๋ก ์ถฉ์ ๋๊ณ , Cdc2, Cdc3๋ 1/3รix๋ก ๋ฐฉ์ ๋จ์ ๋ํ๋ธ๋ค.
๊ทธ๋ฆผ 2. 3์ PWM ์ธ๋ฒํฐ์ ์ ์ฉ๋ MNRV PWM (SPWM, Voffset = 0) ์ค๊ณ ๊ท์น: (a) ๋ค์ค์ธ์ ๊ธฐ์ค ๋ฒกํฐ ์ ์ ์๋ฆฌ, (b) ์ ํ์ ์ธ ์ค์์นญ ํจํด
Fig. 2. Design guidelines for MNRV PWM (SPWM, Voffset = 0) applied to a three-phase PWM inverter: (a) principle of multi-neighboring reference
vector selection and (b) typical switching patterns
a, b, c ๊ฐ ์์ ๋
๋ฆฝ์ ์ผ๋ก ์ ์ด๋ ์ ์์ผ๋ฏ๋ก ์ด ๋ฐฉ์์ ๋ช
๋ น ์ ์์ ํฌ๊ธฐ์ ์์์ ๋์์ ๊ณ ๋ คํ์ฌ 2์ฐจ์ ํ๋ฉด์์ ๊ตฌํ๋๋ ๊ธฐ์กด์ ๊ณต๊ฐ๋ฒกํฐ
PWM (space vector PWM, SVPWM)๊ณผ ๋ฌ๋ฆฌ, ๋จ์ ์ง์ (linear) ๋ฐฉ์์ผ๋ก ๊ตฌํ ๊ฐ๋ฅํ ์ฅ์ ์ด ์๋ค. ๋ค๋ฅธ PWM ๋ฐฉ์์ ์ ์ํ๊ธฐ
์ํด์๋ ๋จผ์ ์ต๋ ๋ฐ ์ต์๊ฐ์ ์ (3)๊ณผ ๊ฐ์ด ์ ์ํด์ผ ํ๋ค. ์ฌ๊ธฐ์ Vmax์ Vmin์ ๊ฐ๊ฐ vcmd_x์ ์ต๋ ๋ฐ ์ต์๊ฐ์ ๋ํ๋ด๋ฉฐ, Vmax(min)_ยฑฯ/6๋ vcmd_x๋ฅผ ยฑฯ/6๋งํผ ์์ ์ด๋์ํจ ๊ฐ์ ๋ํ ์ต๋(์ต์) ๊ฐ์ ์๋ฏธํ๋ค.
์ด๋ ๊ฒ ์ ์ํ ์ต๋ ๋ฐ ์ต์๊ฐ์ ํ์ฉํ์ฌ Voffset์ ์ (4)์ ๊ฐ์ด ์ค์ ํ๋ฉด SPWM, SVPWM, 60ยฐDPWM, 30ยฐDPWM, 60ยฐ(+30ยฐ)DPWM, 60ยฐ(โ30ยฐ)DPWM, DPWMMAXorMIN
๋ฑ ๋ค์ํ PWM ๋ฐฉ์์ ์ ์ํ ์ ์๋ค. ์ฌ๊ธฐ์, SPWM๊ณผ DPWMMAXorMIN์ ์ดํ ์ค๋ช
ํ ๋ค์ด์ค๋ ํด๋จํ ๋ฉํฐ๋ ๋ฒจ HB, FB DC/DC
์ปจ๋ฒํฐ ํ ํด๋ก์ง์์๋ ๋์ผํ๊ฒ ์ฌ์ฉ๋๋ค.
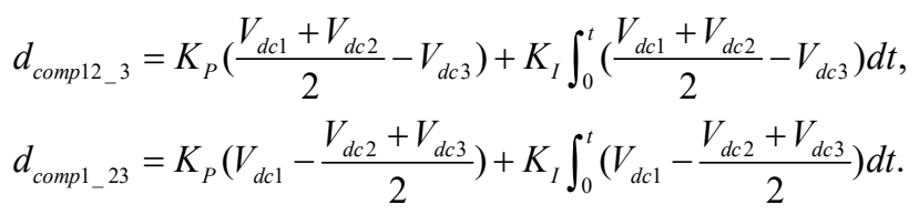
์ปคํจ์ํฐ ์ ์ ๊ท ํ ์ ์ง๋ฅผ ์ํด ์ค๊ฐ ๋ ๋ฒจ ์ ์ ๋ฒกํฐ๋ค์ ๋ํฐ๋น๋ ์ด๊ธฐ ๋จ๊ณ์์ ๋์ผํ๊ฒ ์ค์ ํ๊ณ , ์ดํ ์ ์ ํธ์ฐจ๋ฅผ ๋ณด์ํ๋ ๋ฏธ์ธ ์กฐ์ ๋งค๊ฐ๋ณ์
dcomp๋ฅผ ์ถ๊ฐ๋ก ๋์
ํ์ฌ ์ ๋ฐํ ์ ์ด๊ฐ ๊ฐ๋ฅํ๋๋ก ํ๋ค. ๋ณด์ ๋งค๊ฐ๋ณ์ dcompx (x=1_23 or 12_3)๋ DC ๋งํฌ ์ปคํจ์ํฐ๋ค์ ํ๊ท ์ ์ ๊ฐ์ ์ฐจ์ด์ ๋น๋กํ๋ PI ์ ์ด ์ถ๋ ฅ๊ฐ์ผ๋ก ์ (5)์ ๊ฐ์ด ์ ์๋๋ค. ๋ํฐ ๋ณด์ ํ๋ผ๋ฏธํฐ์ธ dcomp1_23๊ณผ dcomp12_3๋ ๊ฐ๊ฐ Vdc1๊ณผ (Vdc2+Vdc3)/2 ์ฌ์ด์ ์ฐจ์ด, ๊ทธ๋ฆฌ๊ณ (Vdc1+Vdc2)/2์ Vdc3 ์ฌ์ด์ ์ฐจ์ด์ ๋น๋กํ๋ค. ์ฌ๊ธฐ์ Vdc1, Vdc2, Vdc3๋ ๊ฐ๊ฐ ์ปคํจ์ํฐ Cdc1, Cdc2, Cdc3์ ์ ์์ ์๋ฏธํ๋ค. ๋ํ ์ (5)์์ KP์ KI๋ PI ์ ์ด๊ธฐ์ ๋น๋ก ์ด๋(proportional gain)๊ณผ ์ ๋ถ ์ด๋(integral gain)์ ๋ํ๋ธ๋ค.
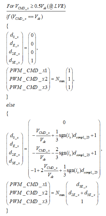
๊ธฐ์ค ์ ์ VCMD_x์ ํฌ๊ธฐ์ ๋ฐ๋ผ LVR์์๋ dE_x, SVR์์๋ d2E_x๋ฅผ ๊ธฐ์ค ๋ฒกํฐ๋ก ์ค์ ํ๊ณ , ๋๋จธ์ง ์ค๊ฐ ๋ฒกํฐ์ ๋ํฐ๋น๋ ๊ธฐ์ค ๋ฒกํฐ์ ๊ฐ๊ฒ ์ค์ ํ ๋ค, dcomp๋ฅผ ํตํด ๋ฏธ์ธ ์กฐ์ ํ๋ค. ๊ทธ๋ฆฌ๊ณ ์ต์ธ๊ฐ ์ ์ ๋ฒกํฐ์ ๋ํฐ๋น๋ voltยทtime์ ๋ง์กฑํ๋๋ก ์ค๊ณํ๋ค. VCMD_x์ ํฌ๊ธฐ์ ๋ฐ๋ผ ์ค์ ๋๋ ๊ฐ ๊ธฐ์ค ์ ์ ๋ฒกํฐ์ ๋ํฐ๋น์ ์บ๋ฆฌ์ด ์ ํธ์ ๋น๊ต๋๋ PWM ๋ช
๋ น ์ ์์ ์ (6), (7)๋ก ํํ๋๋ค. ์ด๋ ๋ณด์ ๋งค๊ฐ๋ณ์ dcomp๋ ์ถ๋ ฅ ์ ๋ฅ์ ๋ฐฉํฅ์ ๋ฐ๋ผ ๋ถํธ ํจ์ sgn(โ
)๋ฅผ ํตํด ์ ์ฉ๋๋ค. ๋ํ, ์ (6)์์ ํ์ธํ ์ ์๋ฏ์ด โd0_x+dE_x+d2E_x+d3E_x = 1โ์ ํญ์ ๋ง์กฑํ๋ฏ๋ก ๊ณผ๋ ์ํฉ์์๋ ์ค์ฐจ ์์ด ์ง๋ น ์ ์์ ์ ํํ๊ฒ ์ถ์ข
ํ ์ ์๋ค. ์ถ๋ ฅ ์์ ๋ฅ ix๋ ์งํญ Im๊ณผ ์ญ๋ฅ (power factor, pf)์ ๋ฐ๋ฅธ ์์๊ฐ ฮด๋ฅผ ํตํด ์ (8)๋ก ๊ฒฐ์ ๋๋ค.
ํํธ, DC/DC ์ปจ๋ฒํฐ์์์ MNRV DPWM ๊ตฌํ์ PWM ์ธ๋ฒํฐ์ ๋ฐฉ์๊ณผ๋ ๋ค์ ๋ค๋ฅด๊ฒ ์ด๋ฃจ์ด์ง๋ค. ๊ทธ๋ฆผ 3์ FB ๋ค์ด์ค๋ ํด๋จํ 4๋ ๋ฒจ DC/DC ์ปจ๋ฒํฐ์์์ MNRV (D)PWM ๊ตฌํ ์๋ฅผ ๋ํ๋ธ ๊ฒ์ด๋ค. VCMD_x์ ํฌ๊ธฐ์ ๋ฐ๋ผ LVR ๋๋ SVR ์์ญ์ผ๋ก ๊ตฌ๋ถํ๊ณ , DC ๋งํฌ ์ปคํจ์ํฐ์ ์ถฉยท๋ฐฉ์ ์ ์ํฅ์ ์ฃผ๋ ์ค๊ฐ ์ ์ ๋ฒกํฐ๋ฅผ ๊ท ๋ฑํ๊ฒ ํ์ฉํ๋ฉด์, voltยทtime
์ ์ง๋ฅผ ์ํด ์ต์ธ๊ฐ ์ ์ ๋ฒกํฐ๋ฅผ ์ฌ์ฉํ๋ ๊ธฐ๋ณธ์ ์ธ ๋ฐฉ๋ฒ๋ก ์ ์์์ PWM ์ธ๋ฒํฐ์ ๋์ผํ๋ค.
๊ทธ๋ฆผ 3. FB DC-DC ์ปจ๋ฒํฐ์ ์ ์ฉ๋ MNRV DPWM (End Sag ์ ํ) ์ค๊ณ ๊ท์น: (a) ๋ค์ค์ธ์ ๊ธฐ์ค ๋ฒกํฐ ์ ์ ์๋ฆฌ, (b) ์ ํ์ ์ธ
์ค์์นญ ํจํด
Fig. 3. Design guidelines for MNRV PWM (End-Sag Type) applied to a FB DC-DC converter:
(a) principle of multi-neighboring reference vector selection and (b) typical switching
patterns
๊ทธ๋ฌ๋ DC/DC ์ปจ๋ฒํฐ์์๋ ์
๋ ฅ ์ ์ ํ์ฉ๋๋ฅผ ๋์ด๊ธฐ ์ํด ๊ธฐ์ค ์ ์์ ์ ํํ ๋์ ๊ตฌํํ ํํ๋ก ๋ณํํด์ผ ํ๋ฉฐ, ๊ธฐ๋ณธ ์ค์์นญ ์ฃผํ์๊ฐ ๋งค์ฐ ๋์
์ค์์นญ ์์ค์ ์ค์ด๊ธฐ ์ํด ์ฃผํ์ ๋ณ์กฐ ์ง์ (mf)๋ฅผ ๋ฎ์ถ๋ ๊ฒ์ด ํ์ํ๋ค (mf=2). ๋ํ, DC/DC ์ปจ๋ฒํฐ์์๋ ์ง๋ น ์ ์ vcmd_x์ ์ ๋ก ํฌ๋ก์ฑ ์ง์ ์์ ์บ๋ฆฌ์ด์ ์์๊ณผ ์นด์ดํ
๋ฐฉํฅ์ ์๋์ ์ผ๋ก ๋ค๋ฅด๊ฒ ์ค์ ํ๋ฉด ๋ค์ํ ๋ณ์กฐ ํน์ฑ์ ๊ตฌํํ ์ ์๋ค[26,28,29]. ํนํ, ๋ ๊ทธ ์ถ๋ ฅ ์ ์์ ๋์นญ์ฑ์ ์ ์งํ๊ธฐ ์ํด FB ์ปจ๋ฒํฐ์ ๊ฒฝ์ฐ ํด๋จํ ๋ชจ๋ (clamp mode, CM)์ ๋ฐ๋ผ, HB ์ปจ๋ฒํฐ์ ๊ฒฝ์ฐ vcmd_x์ ๊ทน์ฑ์ ๋ฐ๋ผ ์บ๋ฆฌ์ด์ ์์๊ณผ ์นด์ดํ
๋ฐฉํฅ์ ๋ค๋ฅด๊ฒ ์ค์ ํ๋ค. ๊ทธ๋ฆผ 3์์๋ ๋ค์ด ์นด์ดํฐ ๋ฐฉ์์ ์บ๋ฆฌ์ด๋ฅผ ์ ์ฉํ End sag ์ ํ์ ์์๋ฅผ ๋ณด์ฌ์ฃผ๊ณ ์๋ค.
ํํธ, ์์ ์ธ๊ธํ ๋ฐ์ ๊ฐ์ด HB ์ปจ๋ฒํฐ๋ ์ ์ด ๊ฐ๋ฅํ ์์ด ํ๋๋ฟ์ด๋ฏ๋ก Voffset=0์ผ๋ก ์ค์ ๋๋ SPWM ๋ฐฉ์์ ์ ์ฉํ๋ค. ๋ฐ๋ฉด, FB ์ปจ๋ฒํฐ๋ ์ค์์นญ ์์ค์ ์ต์ํํ๊ณ ์ง๋ น ์ ์์ ์์ ๋ณํ์ ๋ฐ๋ฅธ ๊ณผ๋ ํ์์ ์ค์ด๊ธฐ ์ํด
DPWMMAXorMIN ๋ฐฉ์์ ์ ์ฉํ๋ค. VCMD_x์ ํฌ๊ธฐ์ ๋ฐ๋ผ ์ค์ ๋๋ ๊ฐ ๊ธฐ์ค ์ ์ ๋ฒกํฐ์ ๋ํฐ๋น์ ์บ๋ฆฌ์ด ์ ํธ์ ๋น๊ต๋๋ PWM ๋ช
๋ น ์ ์์ ์ (9), (10)์ผ๋ก ํํ๋๋ค.
PWM ์ธ๋ฒํฐ์ ๋ฌ๋ฆฌ DC/DC ์ปจ๋ฒํฐ์ ๊ฒฝ์ฐ, ZVS ๊ตฌํ์ ์ํด ์ ์ ๋ฅ์ ์์์ด ์ปจ๋ฒํฐ ์ง๋ น ์ ์ ๋ณด๋ค ์ฝ๊ฐ ์ง์ฐ๋์ง๋ง, ๊ธฐ๋ณธ์ ์ผ๋ก ์ปจ๋ฒํฐ ์ง๋ น
์ ์๊ณผ ์ปคํจ์ํฐ ์ ์ ํธ์ฐจ ๋ณด์์ด ๋ฐ์ํ๋ sag ์์ญ์ ์์์ ๋์ฒด๋ก ์ผ์นํ๋ค. ๋ฐ๋ผ์ ๋ณ๋์ ์ ๋ฅ ์ธก์ ์ ํตํด sgn(ix)๋ฅผ ์ป์ ํ์ ์์ด, VCMD_x์ ์์๋ง์ผ๋ก๋ ์ ์ ๋ฅ์ ๋ฐฉํฅ์ ์์ธกํ ์ ์๋ค. ๊ฒฐ๊ณผ์ ์ผ๋ก DC/DC ์ปจ๋ฒํฐ์์๋ sgn(ix) ๋์ ์ ํด๋จํ ๋ชจ๋ (-CM)๊ฐ ๋์ผํ ๊ธฐ๋ฅ์ ์ํํ๊ฒ ๋๋ค.
3. MNRV DPWM์ 3์ ์ธ๋ฒํฐ๋ก์ ๊ตฌํ ์์
์ ์๋ ์คํ์
์ ์ ์ฃผ์
๋ฐฉ์์ MNRV (D)PWM ๊ธฐ๋ฐ ๋ค์ด์ค๋ ํด๋จํ 4๋ ๋ฒจ 3์ ์ธ๋ฒํฐ์ ๋ํ ์๋ฎฌ๋ ์ด์
๊ฒฐ๊ณผ๋ ํ 2์ ์กฐ๊ฑด์์ ์ํ๋์ด ๊ทธ๋ฆผ 4์ ๋ํ๋ ์๋ค.
๊ทธ๋ฆผ 4. MNRV (D)PWM ๊ธฐ๋ฐ ๋ค์ด์ค๋ ํด๋จํ 3์ 4 ๋ ๋ฒจ PWM ์ธ๋ฒํฐ์ ์คํ์
์ ์์ ๋ฐ๋ฅธ ์ ์ ์ํ ๋์ ํํ : (a) SPWM,
(b) SVPWM, (c) 60ยฐDPWM, (d) 30ยฐDPWM, (e) 60ยฐ(+30ยฐ)DPWM, (f) 60ยฐ(-30ยฐ)DPWM, (g) DPWMMAX
๋๋ DPWMMIN [30]
Fig. 4. Steady-state operating waveforms of a diode-clamped three-pahse four-level
PWM inverter based on MNRV(D)PWM with offset voltages : (a) SPWM, (b) SVPWM, (c) 60ยฐDPWM,
(d) 30ยฐDPWM, (e) 60ยฐ(+30ยฐ)DPWM, (f) 60ยฐ(-30ยฐ)DPWM, and (g) DPWMMAXorMIN [30]
ํ 2 ์๋ฎฌ๋ ์ด์
์กฐ๊ฑด
Table 2 Simulation Condition
|
Vdc(V)
|
Load Impedance (ZL)(ฮฉ)
|
m
|
mf
|
|
200
|
22.71
|
0.9
|
100
|
|
pf
|
Cdc(mF)
|
fS(Hz)
|
|
|
0.9
|
7.5
|
60
|
|
์ด๋ฌํ ์กฐ๊ฑดํ์์, ๋ค์ํ ์คํ์
์ ์ ์ฃผ์
๋ฐฉ์์ ๋ฐ๋ฅธ ์ผ๊ณฑ ๊ฐ์ง MNRV (D)PWM ๋ฐฉ๋ฒ์ ๊ณ ์ ํ ํน์ฑ์ด ๊ด์ฐฐ๋์๋ค. ๊ฐ์ฅ ๋ฐ๊นฅ์ชฝ ์ ์ ๋ฒกํฐ์
ํด๋จํ ๊ฐ๊ฒฉ์ด 180ยฐ๋ก ๋ํ๋๋ฉฐ, ์ด๋ก ์ธํด ์ค์์นญ ์์ค์ด ๊ฐ์ํ๋ ๊ฒ์ด ํ์ธ๋์๋ค.
๋ํ, ์ถ๋ ฅ ์ ๋ฅ์ ์ด ๊ณ ์กฐํ ์๊ณก(THD)์ ๋ถ์ํ ๊ฒฐ๊ณผ, SVPWM ๋ฐฉ์์์ ๊ฐ์ฅ ๋ฎ์ 0.5%์ THD๊ฐ ๋ํ๋ฌ์ผ๋ฉฐ, SPWM์์๋ ์ฝ๊ฐ ๋์
0.59%๋ฅผ ๊ธฐ๋กํ๋ค. ๋ฐ๋ฉด, ๋๋จธ์ง DPWM ๋ฐฉ์์์๋ ์ฝ 0.85~0.89% ์์ค์ THD๋ฅผ ๋ณด์๋ค. ์ถ๋ ฅ ์์ ์ ์์ THD๋ DPWMMAXorMIN
๋ฐฉ์์์ 70.6%๋ก ๊ฐ์ฅ ๋ฎ๊ฒ ๋ํ๋ฌ์ผ๋ฉฐ, ๋ฐ๋๋ก 30ยฐDPWM ๋ฐฉ์์์๋ 90.7%๋ก ๊ฐ์ฅ ๋๊ฒ ์ธก์ ๋์๋ค.
์ถ๋ ฅ ์ ๊ฐ ์ ์์ THD๋ 41.2%์์ 44.9% ์ฌ์ด์ ๊ฐ์ ๊ฐ์ง๋ ๊ฒ์ผ๋ก ๋ํ๋ฌ๋ค. ๋ค์์ ์์ธํ ๋ถ์ํ๊ฒ ์ง๋ง, dE_xโ
ix์ 3์ ์ดํฉ์ DC ๋งํฌ ์ ์ Vdc1 ๋๋ Vdc3์ ์ถฉ์ ๋ฐ ๋ฐฉ์ ํจํด๊ณผ ๋ฐ์ ํ ๊ด๋ จ์ด ์๋ ๊ฒ์ผ๋ก ๋ถ์๋์๋ค. ๋ํ, ๋ค์ฏ ๋ฒ์งธ ํ์์ dE_a์ d2E_a๊ฐ์ด ๊ฑฐ์ ๋์ผํ๊ฒ ๋ํ๋ฌ์ผ๋ฉฐ, ์ด๋ ๋ณด์ ํญ์ธ dcomp๊ฐ์ด ๋งค์ฐ ์์์ ์๋ฏธํ๋ค. ์ด๋ฌํ MNRVใ(D)PWM์ ๋ค์์ ๊ณ ์ฐจ์ ๋ฉํฐ๋ ๋ฒจ ์ธ๋ฒํฐ์๋ ํ๋ ์ ์ฉ๋ ์ ์๋ค[32]. ๊ทธ๋ฆผ 5๋ MNRV ๏ผD)PWM์ 5์ 5๋ ๋ฒจ ๋ค์ด์ค๋ ํด๋จํ PWM ์ธ๋ฒํฐ ํ ํด๋ก์ง์ ์ ์ฉํ ์๋ฎฌ๋ ์ด์
๊ฒฐ๊ณผ๋ฅผ ๋ํ๋ด๋ฉฐ, ์ด๋ฅผ ํตํด ๋์ ์ฑ๋ฅ์ THD์
์์ ์ ์ธ ์ ์ ๋ฐธ๋ฐ์ฑ์ ์ ์งํ ์ ์์์ ํ์ธํ ์ ์๋ค.
๊ทธ๋ฆผ 5. MNRV(D)PWM ๊ธฐ๋ฐ ๋ค์ด์ค๋ ํด๋จํ 5์ 5๋ ๋ฒจ PWM ์ธ๋ฒํฐ์ ์คํ์
์ ์์ ๋ฐ๋ฅธ ์ ์ ์ํ ๋์ ํํ : (a) SPWM, (b)
SVPWM
Fig. 5. Steady-state operating waveforms of a diode-clamped five-phase five-level
PWM inverter based on MNRV(D)PWM with offset voltages : (a) SPWM and (b) SVPWM
๊ทธ๋ฆผ 6. ๋ณ์กฐ์ง์(m)์ ์์๊ฐ(ฮด)์ ๋ฐ๋ฅธ ฮVdc1์ ์์นํด์ ๊ฒฐ๊ณผ : (a) SPWM, (b) SVPWM, (c) 60ยฐ DPWM, (d) 30ยฐ DPWM, (e) 60ยฐ(+30ยฐ) DPWM, (f)
60ยฐ(-30ยฐ) DPWM, (g) DPWMMAX or MIN [30]
Fig. 6. Numerical analysis results of ฮVdc1 according to m and ฮดfor (a) SPWM, (b) SVPWM, (c) 60ยฐDPWM, (d) 30ยฐDPWM, (e) 60ยฐ(+30ยฐ)DPWM,
(f) 60ยฐ(-30ยฐ)DPWM, and (g) DPWMMAXorMIN [30]
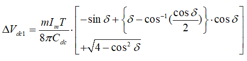
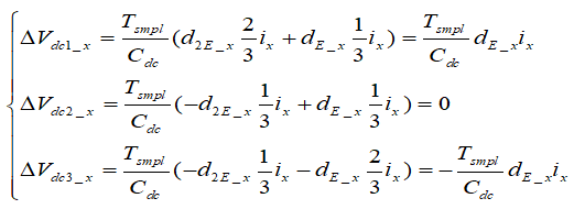
์ํ๋ง ์๊ฐ Tsmpl(=T/mf)๋์ ์ ๋ฅ ix์ ์ํด ๋ฐ์ํ๋ DC ๋งํฌ ์ปคํจ์ํฐ Cdc,n์ ์ ์ ๋ฆฌํ์ ฮVdc,nx๋ก ์ ์ํ ๋, ์ด๋ ์ (11)์ ๋ง์กฑํ๋ ๊ฒ์ผ๋ก ๋ํ๋๋ค.
์ฌ๊ธฐ์ T๋ ์ ๋ ฅ ์์คํ
์ ๊ธฐ๋ณธ ์ฃผ๊ธฐ๋ฅผ ์๋ฏธํ๊ณ , ์ ์์ํ์์ dE_x=d2E_x๋ผ๊ณ ๊ฐ์ ํ๊ณ , ๋ํฐ ๋ณด์ ํญ dcomp์ ์์ ๊ฐ์ ๋ฌด์ํ์๋ค. ์ค๊ฐ ์ปคํจ์ํฐ Cdc2์ ์ ์ ๋ณ๋ ฮVdc2๋ ์บ๋ฆฌ์ด ์ฃผ๊ธฐ ๋์ 0์ผ๋ก ์ ์ง๋์ง๋ง, ์๋ถ ๋ฐ ํ๋ถ ์ปคํจ์ํฐ์ธ Cdc1์ Cdc3์ ์ ์ ๋ณ๋์ธ ฮVdc1 ๋ฐ ฮVdc3๋ ๋ชจ๋ ์์์ dE_xโ
ix์ ํฉ๊ณผ ๊ด๋ จ์ด ์์ผ๋ฉฐ, ์๋ก ๋ฐ๋์ ๋ถํธ๋ฅผ ๊ฐ์ง๋ค. ์๋ฅผ ๋ค์ด, SPWM์ ๊ฒฝ์ฐ ฮVdc1์ ฯ/3๊ตฌ๊ฐ ๋์ dE_xโ
ix์ 3์ ์ ๋ถ ํฉ์ ์ปคํจ์ํฐ ์ฉ๋ Cdc์ ๊ฐ์ฃผํ์ ฯ์ ๊ณฑ์ผ๋ก ๋๋ ๊ฐ์ผ๋ก ๊ฒฐ์ ๋๋ฉฐ, ์ด๋ ์ (12)์์ ์ ์๋๋ค. SVPWM์ ๋ํด์๋ ๋น์ทํ ๋ฐฉ์์ผ๋ก ๊ณ์ฐ๋ ์ ์๋ค. ๊ทธ๋ฌ๋ ๋๋จธ์ง DPWM ๋ฐฉ์์ ๋ํด์๋ m๊ณผ ฮด๊ฐ์ ๋ฐ๋ฅธ ๋ค์ํ ์๋๋ฆฌ์ค๊ฐ
์กด์ฌํ๊ธฐ ๋๋ฌธ์, ๋ช
์์ ์ธ ์์๋ณด๋ค๋ ๋ถ์์ ์ธ ์กฐ์ฌ๊ฐ ํ์ํ๋ค[32].
๊ทธ๋ฆผ 6์ SPWM, SVPWM ๋ฐ ๋ค์ํ DPWM ๋ฐฉ์์ ฮVdc1์ ๋ํ๋ธ๋ค. ์ฌ๊ธฐ์ ์ํ ๋ฐ ์์ง ์ถ์ m๊ณผ ฮด๋ฅผ ๋ํ๋ด๋ฉฐ, ๋ฑ๊ณ ์ ์ ํตํด ฮVdc1๊ฐ์ ๋ณํ๋ฅผ ํํํ๋ค. ๋ ์งํ ํ๋์์ ๋ ๋ฎ์ ๊ฐ์ ์๋ฏธํ๋ฉฐ, ๋ ์งํ ๋
ธ๋์์ ๋ ๋์ ๊ฐ์ ๋ํ๋ธ๋ค. SPWM๊ณผ SVPWM ๋ฐฉ์์์๋ ฮVdc1์ ๋ถํฌ๊ฐ ์๋์ ์ผ๋ก ๊ท ์ผํ๋ฉฐ, ๋ณ์กฐ์ง์๊ฐ ์์์๋ก ์ ์ ๋ฆฌํ์ด ์๊ฒ ๋ํ๋๋ค. DPWM ๋ฐฉ์์์๋ ํน์ ์์๊ฐ ๊ตฌ๊ฐ์์ ฮVdc1์ด ๊ธ๊ฒฉํ ๋ณํํ๋ ์์ญ์ด ๊ด์ฐฐ๋๋ฉฐ, ํนํ DPWM60ยฐ(โ30ยฐ)์์๋ ํฐ ์ ์ ํธ์ฐจ๊ฐ ๋ํ๋๋ค. m โ 0.7 ๊ทผ์ฒ์์ ฮVdc1์ ๋ณํ ๊ธฐ์ธ๊ธฐ๊ฐ ๊ธ๊ฒฉํ ์ฆ๊ฐ, ๊ตญ๋ถ์ ์ผ๋ก ๋น์ ํ์ ๊ฑฐ๋์ด ๋ํ๋๋ค. DPWMMAXorMIN์์๋ ์ค๊ฐ ๋ณ์กฐ์ง์ ์์ญ์์ ฮVdc1์ด ํฌ๊ฒ ์ฆ๊ฐํจ์ ํ์ธํ ์ ์์ผ๋ฉฐ, ์ด๋ ๊ธฐ์กด DPWM ๋ฐฉ์๋ณด๋ค ์ ์ ๋ฆฌํ ์ฑ๋ถ์ด ๋ ์ปค์ง ์ ์์์ ์์ฌํ๋ค. ์ ๋ฐ์ ์ผ๋ก DPWM ๋ฐฉ์์์ ฮด์
๋ฐ๋ฅธ ์ํฅ์ด ๋งค์ฐ ๋๋ ทํ๊ฒ ๋ํ๋๋ค.
fs=60Hz, mf=100, m=0.9์ ์กฐ๊ฑด์์, ์ ์๋ MNRV (D)PWM์ ํ๊ท ์ค์์นญ ์ฃผํ์๋ฅผ ๋ถ์ํ์๋ค. MNRV ๊ธฐ๋ฐ SPWM ๋ฐ SVPWM์ ๊ฒฝ์ฐ, PWM_CMD_a1๊ณผ
PWM_CMD_a3๊ฐ ๊ฐ๊ฐ 180ยฐ์ ์ค์์นญ ํด์ง ๊ธฐ๊ฐ์ ๊ฐ๋๋ค.
๋ฐ๋ผ์, Qa1๊ณผ Qa3์ ๊ฐ๋ณ ์ค์์นญ ์ฃผํ์๋ 3kHz(=6kHzร1/2)๋ก ๊ณ์ฐ๋๋ฉฐ, ํ๊ท ์ค์์นญ ์ฃผํ์๋ 4kHz(=(3kHz+6kHz+3kHz)/3)๋ก ๋ํ๋๋ค.
MNRV DPWM ๋ฐฉ์์์๋ 180ยฐ์ ์ค์์นญ ํด์ง ๊ธฐ๊ฐ ์ธ์๋ ์ถ๊ฐ์ ์ผ๋ก 60ยฐ์ ํด๋จํ ๊ตฌ๊ฐ์ด ์กด์ฌํ๋ค. ์ด์ ๋ฐ๋ผ, ํ๊ท ์ค์์นญ ์ฃผํ์๋ 2.6kHz(=(2kHz+4kHz+2kHz)/3)๋ก
๊ณ์ฐ๋๋ค.
4. MNRV DPWM์ DC-DC ์ปจ๋ฒํฐ๋ก์ ๊ตฌํ ์์
4.1 FB LLC ๊ณต์งํ DC-DC ์ปจ๋ฒํฐ
์ ์๋ MNRV DPWM ๊ธฐ๋ฐ ๋ค์ด์ค๋ ํด๋จํ 4๋ ๋ฒจ FB LLC ๊ณต์ง ์ปจ๋ฒํฐ์ ์ ์ด ๋ธ๋ก ๋ค์ด์ด๊ทธ๋จ์ ๊ทธ๋ฆผ 7์ ๋ํ๋ ์๋ค. ์ ์ ์ ์ปจํธ๋กค๋ฌ์ ์ถ๋ ฅ Vampl์ ์ค์์นญ ์ฃผํ์ fsw์์ 50% ๋น์จ๋ก 1๊ณผ -1 ์ฌ์ด๋ฅผ ๋ณ๋ํ๋ ํ์ค์ ๊ณฑํด์ ธ ํ์ค ํํ์
๋ช
๋ น ์ ์ vcmd ์ ์์ฑํ๋ค. ์ฌ๊ธฐ์ fsw๋ ์ต๋ ํจ์จ์ ์ํด ๊ณต์ง ์ฃผํ์ (fr=1/[2ฯ(LrCr)0.5])๋ก ์ค๊ณ๋๋ค. CM์ Vdc1 ๊ณผ Vdc3 ํฌ๊ธฐ ๋น๊ต์ ๋ฐ๋ผ ์ค์ ๋๋ค. ์ปคํจ์ํฐ ๊ฐ์ ์ ์ ํธ์ฐจ๋ฅผ ์ ๊ฑฐํ๊ธฐ ์ํด, Vdc1, Vdc2, Vdc3 ๋ PI ์ปจํธ๋กค๋ฌ์ ์
๋ ฅ๋์ด ๋ํฐ ๋ณด์ ํ๋ผ๋ฏธํฐ (dcomp1_23, dcomp12_3)๋ฅผ ์ถ๋ ฅํ๋ค. ์ดํ, ์ (1)-(4) ๋ฐ (7)-(9)์ ์ํด vcmd์ ์์น์ ๋ฐ๋ผ ์ ์ ํ MNRV๊ฐ ์ ํ๋๋ฉฐ, ๊ฐ ๊ธฐ์ค ๋ฒกํฐ์ ์ง์ ์๊ฐ์ด ๊ณ์ฐ๋๋ค. ์ต์ข
์ ์ผ๋ก, A์ ๋ฐ B์์ PWM ๋ช
๋ น์ด ์ถ๋ ฅ๋๋ค. ์ด PWM
์ ํธ๋ ์บ๋ฆฌ์ด์ ๋น๊ต๋์ด A์ ๋ฐ B ์์ ์๋ถ ์ค์์น ์ํ๊ฐ ๊ฒฐ์ ๋๋ค.
๊ทธ๋ฆผ 7. MNRVใDPWM ๊ธฐ๋ฐ์ DC-DC ์ปจ๋ฒํฐ ์ ์ด ๋ธ๋ก๋
Fig. 7. Control block diagram of MNRN DPWM-based DC-DC ์ปจ๋ฒํฐ
์ ์๋ MNRVใDPWM ๊ธฐ๋ฐ ๋ค์ด์ค๋ ํด๋จํ 4๋ ๋ฒจ LLC ๊ณต์งํ ์ปจ๋ฒํฐ์ ๋์ ๋ชจ๋๋ฅผ ๋ถ์ํ๋ค. ํ๋ก์ ๋์ ์ํ๋ ์ฃผ๋ก CM์ ๋ฐ๋ผ ํฌ๊ฒ ๋ถ๋ฅ๋๋ค.
๊ทธ๋ฆผ 8์ UCM (CM=1) ๋ฐ LCM (CM=-1)์์์ ํ๋ก ๋์ ์ํ๋ฅผ ๋ํ๋ด๋ฉฐ, ๊ฐ ํ๋ก์ ์ค๋ฅธ์ชฝ์ ํ์๋ (AB)๋ A์๊ณผ B์์ ์ค์์นญ ์ํ๋ฅผ
์๋ฏธํ๋ค. ๊ทธ๋ฆผ์์ ๋นจ๊ฐ์ ์์์ ์ ๋ํต ์ค์ธ ์ค์์น์ ์ฑ๋ ๋๋ ๋ฐ๋ ๋ค์ด์ค๋๋ฅผ ํตํด ํ๋ฅด๋ ์ ๋ฅ ๊ฒฝ๋ก๋ฅผ ๋ํ๋ธ๋ค. (30), (03), (33),
(00)์ ๊ฒฝ์ฐ๋ฅผ ์ ์ธํ๊ณ , ์ง๋ ฌ ์ฐ๊ฒฐ๋ ์ปคํจ์ํฐ Cdc1, Cdc2, Cdc3๋ฅผ ํ๋ฅด๋ ์ ๋ฅ์ ํฌ๊ธฐ์ ๋ฐฉํฅ์ ์ค์์นญ ํจํด์ ๋ฐ๋ผ ๋ค๋ฅด๊ฒ ๋ํ๋๋ค. (31) ๋ฐ (13) ์ค์์นญ ์์์๋ ์ถฉยท๋ฐฉ์ ์ํ๊ฐ DDC์ด๋ค. (32) ๋ฐ
(23) ์ค์์นญ ์์์๋ ์ถฉยท๋ฐฉ์ ์ํ๊ฐ DCC์ด๋ค. (20) ๋ฐ (02) ์ค์์นญ ์์์๋ ์ถฉยท๋ฐฉ์ ์ํ๊ฐ CDD์ด๋ค. (10) ๋ฐ (01) ์ค์์นญ
์์์๋ ์ถฉยท๋ฐฉ์ ์ํ๊ฐ CCD์ด๋ค. ํน์ ์ค์์นญ ์์ ์ง์ ์๊ฐ์ ๋ฐ๋ผ ๊ฐ ์ปคํจ์ํฐ์ ์ถฉยท๋ฐฉ์ ํจํด์ด ๋ฌ๋ผ์ง๋ฏ๋ก ์ด๋ฅผ ์ ์ ๋ฐธ๋ฐ์ฑ์ ํ์ฉํ ์ ์์
๊ฒ์ผ๋ก ์์๋๋ค.
์ด ํ๋ก์ ๋์ ์ํ๋ฅผ ๊ธฐ๋ฐ์ผ๋ก ๊ทธ๋ฆผ 9๋ ์ ์๋ FB ๋ค์ด์ค๋ ํด๋จํ 4๋ ๋ฒจ LLC ๊ณต์ง ์ปจ๋ฒํฐ์ ์ฃผ์ ๋์ ํํ์ ๋ํ๋ธ๋ค. CM์ ์ค์์นญ ์ฃผ๊ธฐ ์์ ์ ์ปคํจ์ํฐ ์ ์ ํธ์ฐจ์ ๋ฐ๋ผ UCM
๋๋ LCM์ผ๋ก ๊ฒฐ์ ๋๋ค. ์ ์ ์ํ์์๋ ํ ์ฃผ๊ธฐ ๋์ UCM, ๋ค์ ์ฃผ๊ธฐ ๋์ LCM์์ ๋์ํ๋ฉฐ, ํ๋์ ์ฃผ๊ธฐ๋ ๋์นญ์ ์ธ ๋ฐ์ฃผ๊ธฐ ๋์ (4๊ฐ
๋ชจ๋)์ผ๋ก ๊ตฌ์ฑ๋๋ค.
โ ๋ชจ๋ 1 [t0, t1] t0์์ CM์ด LCM์์ UCM์ผ๋ก ๋ณ๊ฒฝ๋๋ค. A์์ ์๋ถ ์ค์์น QA1, QA2, QA3๋ ILr์ ์์ ์ ๋ฅ๋ก ์ธํด ZVS (Zero Voltage Switching) ์กฐ๊ฑด์์ ๋ชจ๋ ์ผ์ง๊ณ , B์์ ์๋ถ QB3์ ํ๋ ์ค์์นญ ์กฐ๊ฑด์์ ๊บผ์ง๋ค. ์ด๋ Vleg(=Vdc)๊ฐ ๊ณต์ง ํฑํฌ์ ์ธ๊ฐ๋๋ฉฐ, Lr๊ณผ Cr์ ์ํด ํ์ฑ๋ ๊ณต์ง ์ ๋ฅ ILr๊ฐ ๋ณ์๊ธฐ 2์ฐจ ์ธก์ผ๋ก ์ ๋ฌ๋๋ค. ์ดํ ๋ค์ด์ค๋ DO1์ด ๋ํตํ๋ฉฐ, ์ถ๋ ฅ ์ ์ VO๊ฐ ๊ถ์ ๋น n์ ๊ณฑํ ํํ๋ก ์ํ ์ธ๋ํด์ค Lm์ ์ธ๊ฐ๋๋ค. ์ค์์นญ ์ํ๋ (30)์ด๋ฉฐ, Cdc1, Cdc2, Cdc3์ ํ๋ฅด๋ ์ ๋ฅ๋ ๋ชจ๋ IdcโILr๊ณผ ๋์ผํ๋ค. ์ด ๋ชจ๋๋ t1์์ QB6๊ฐ ๊บผ์ง ๋ ์ข
๋ฃ๋๋ค.
โ ๋ชจ๋ 2 [t1, t2] t1์์ QB6๊ฐ ๊บผ์ง๋ฉด, ์ค์์นญ ์ํ๋ (31)๋ก ๋ณ๊ฒฝ๋๋ค. Cdc1๊ณผ Cdc2๋ 1/3รILr์ ์ ๋ฅ๋ก ๋ฐฉ์ ๋๋ฉฐ, Cdc3๋ 2/3รILr์ ์ ๋ฅ๋ก ์ถฉ์ ๋๋ค. Vleg๋ 2/3รVdc๋ก ๊ฐ์ํ๋ฉฐ, ์ด์ ๋ฐ๋ผ LrโCr์ ์ธ๊ฐ๋๋ ์ ์์ด Vdc์์ 2/3รVdc๋ก ๋ณํํ์ฌ ๊ณต์ง ์ ๋ฅ ILr์ ๊ธฐ์ธ๊ธฐ๊ฐ ๋ณ๊ฒฝ๋๋ค. Lm์ ์ฌ์ ํ nVO๋ก ์ถฉ์ ๋๋ค. ์ด ๋ชจ๋๋ t2์์ QB5๊ฐ ๊บผ์ง ๋๊น์ง ์ง์๋๋ค.
โ ๋ชจ๋ 3 [t2, t3] t2์์ QB5๊ฐ ๊บผ์ง๋ฉด, ์ค์์นญ ์ํ๋ (32)๋ก ๋ณ๊ฒฝ๋๋ค. Cdc1์ 2/3รILr์ ์ ๋ฅ๋ก ๋ฐฉ์ ๋๋ฉฐ, Cdc2์ Cdc3๋ 1/3รILr์ ์ ๋ฅ๋ก ์ถฉ์ ๋๋ค. Vleg๋ 2/3รVdc์์ 1/3รVdc๋ก ๊ฐ์ํ๋ฉฐ, ์ด์ ๋ฐ๋ผ ILr์ ๊ธฐ์ธ๊ธฐ๊ฐ ๋ณ๊ฒฝ๋๋ค. Lm์ ๊ณ์ํด์ nVO๋ก ์ถฉ์ ๋๋ค. ์ด ๋ชจ๋๋ t3์์ ILr=ILm์ด ๋ ๋ ์ข
๋ฃ๋๋ค.
โ ๋ชจ๋ 4 [t3, t4] t3์์ ILr=ILm์ด ๋๋ฉด์, ๋ณ์๊ธฐ์ 1์ฐจ ๋ฐ 2์ฐจ ์ธก์ด ๋ถ๋ฆฌ๋๋ฉฐ, Lm์ ํฐ ์ธ๋ํด์ค ๊ฐ์ด ๊ณต์ง์ ๊ธฐ์ฌํ๊ฒ ๋์ด ๊ณต์ง ์ฃผ๊ธฐ๊ฐ ๊ธธ์ด์ง๋ ํ์์ด ๋ฐ์ํ๋ค. ์ด ๋ชจ๋๋ t4์์ vcmd์ ๊ทน์ฑ์ด ์์๋ก ๋ณํ ๋๊น์ง ์ง์๋๋ค.
๊ทธ๋ฆผ 8. UCM (CM=1)์์ (a) Vcmd > 0, (b) Vcmd < 0์ผ ๋, LCM (CM=-1)์์ (c) Vcmd > 0, (d) Vcmd < 0์ผ ๋ ๋์ ํ๋ก [26]
Fig. 8. Operating circuits when (a) Vcmd > 0 and (b) Vcmd < 0 in the UCM (CM=1) and when (c) Vcmd > 0 and (d) Vcmd < 0 in the LCM (CM=-1) [26]
๊ทธ๋ฆผ 9. MNRV DPWM ๊ธฐ๋ฐ์ ๋ค์ด์ค๋ ํด๋จํ 4๋ ๋ฒจ LLC ๊ณต์งํ ์ปจ๋ฒํฐ์ ์ ์์ํ ํํ (End Sag)
Fig. 9. Steady-state waveforms of a diode-clamped four-level LLC resonant converter
based on MNRV DPWM (End Sag)
DC/DC ์ปจ๋ฒํฐ์ ๋์นญ์ฑ์ ๊ณ ๋ คํ๋ฉด, vcmd๊ฐ ์์์ธ ๋๋จธ์ง ๋ฐ์ฃผ๊ธฐ์ ๋์์ ์์ ์ค๋ช
ํ ์์ ๋ฐ์ฃผ๊ธฐ์ ๋์ผํ๊ฒ ์งํ๋๋ค. UCM์์๋ Vdc1์ด ๊ณ์ ๋ฐฉ์ ๋๊ณ Vdc3์ด ๊ณ์ ์ถฉ์ ๋๋ค. ๋ฐ๋ผ์, ์ค์ ๋์ ์กฐ๊ฑด์์ Vdc1>Vdc3์ผ ๋ UCM์ด ์ ํ๋๋ค. LCM์ธ ๊ฒฝ์ฐ์์๋ ์ ์ฌํ๊ฒ ๋์ํ๋ฏ๋ก ์ค๋ช
์ ์๋ตํ๋ค.
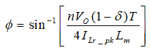
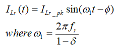
์ ์์ํ์์์ ๊ณต์ง ์ ๋ฅ์ ํํ๋ ๊ทธ๋ฆผ 10์ ๋ํ๋ ์๋ค. ๊ณ์ฐ์ ํธ์๋ฅผ ์ํด, ๊ณต์ง ์ ๋ฅ๊ฐ ์ด์์ ์ธ ์ ํํ๋ผ๊ณ ๊ฐ์ ํ๋ฉฐ, ๊ณต์ง ์ฃผ๊ธฐ๋ ์ค์์นญ ์ฃผ๊ธฐ T๋ณด๋ค ฮดT๋งํผ ๊ฐ์ํ๋ค๊ณ ๊ฐ์ ํ๋ค. ์ด๋ฌํ
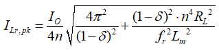
์กฐ๊ฑด์์, ๊ฐ์๋ ๊ณต์ง ์ฃผ๊ธฐ T1์ ๋์ํ๋ ๊ณต์ง ๊ฐ์ฃผํ์ ฯ1=ฯ/(1-ฮด)๋ก ํํ๋๋ฉฐ, ์ฌ๊ธฐ์ ฮด=1โT1/T์ด๋ค. ๊ณต์ง ์ ๋ฅ๋ ์ (13)์ผ๋ก ๋ํ๋ผ ์ ์์ผ๋ฉฐ, ์ด๋ ฯ๋ Vleg์ ILr์ฌ์ด์ ์์์ฐจ๋ฅผ ๋ํ๋ด๋ฉฐ, ์ด๋ ์ (14)๋ก ํํ๋๋ค. ๊ณต์ง ์ ๋ฅ์ ํผํฌ๊ฐ ILr_pk๋ ์ (15)๋ฅผ ํตํด ๊ณ์ฐํ ์ ์๋ค. ์ฌ๊ธฐ์, IO๋ ๋ถํ ์ ๋ฅ, RL์ ๋ถํ ์ ํญ ๊ฐ์ ์๋ฏธํ๋ค.
๊ทธ๋ฆผ 10. End sag ์ ํ์ ์ ์์ํ์์์ ๊ณต์ง ์ ๋ฅ ํํ
Fig. 10. Resonant current waveform of end sag in steady state
์ ์ ์ด๋์ ๊ธฐ๋ณธํ ํด์ (First Harmonic Analysis, FHA)์ ์ ์ฉํ์ฌ ๋์ถ๋๋ค[34]. ์ฌ๊ธฐ์ m์ m=Vcmd/Vdc์ผ๋ก ์ ์๋๋ค. ๊ทธ๋ฆผ 11์ End sag์ ๋ํ Vleg ํํ์ ๋ํ๋ธ๋ค. ๊ฐ ๊ณ๋จ ์ ์์ ๋ํฐ ๋น์จ๊ณผ Vleg์ ๊ธฐํํ์ ๊ด๊ณ๋ฅผ ์ด์ฉํ์ฌ Vleg์ ๊ธฐ๋ณธํ ์ฑ๋ถ์ธ VlegF๋ ์ (16)๋ก ํํ๋๊ณ , ์ ์ ์ด๋์ ์ (17)๋ก ์ฃผ์ด์ง๋ค. ๊ทธ๋ฆผ 11์ m์ ๋ฐ๋ฅธ ์ ์ ์ด๋์ ๋ํ๋ธ๋ค. ๊ณ์ฐ ๊ฐ๊ณผ ์๋ฎฌ๋ ์ด์
๊ฐ ์ฌ์ด์ ์ฐจ์ด๋ ๊ณ ๋ คํ์ง ์์ ๊ณ ์กฐํ ์ฑ๋ถ์ ๊ธฐ์ธํ๋ค[29].
๊ทธ๋ฆผ 11. FB Edge Sag ์ ํ์ ์ถ๋ ฅ ๋ ๊ทธ ์ ์ : (a) |vcmd| โฅ 0.5Vdc, (b) |vcmd| < 0.5Vdc์ธ ๊ฒฝ์ฐ
Fig. 11. Output leg voltage of FB Edge Sag type when (a)|vcmd| โฅ 0.5Vdc and (b) |vcmd| < 0.5Vdc
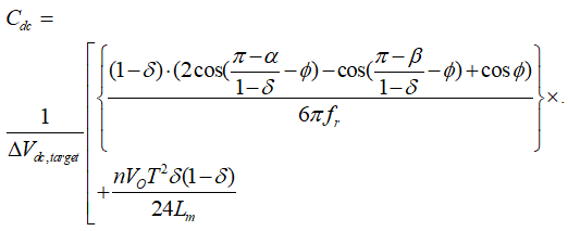
์ ์์ํ์์ Vdc1์ CM์ ๋ฐ๋ผ ๋ฐ๋ณต์ ์ผ๋ก ์ถฉยท๋ฐฉ์ ๋๋ค. Cdc๋ ๋ฐ์ฃผ๊ธฐ ๋์์ ์ปคํจ์ํฐ ์ถฉ์ ๋์ ๋ชฉํ DC ๋งํฌ ์ ์ ๋ณ๋๋ ฮVdc,target์ผ๋ก ๋๋์ด ๊ณ์ฐํ ์ ์๋ค. ๊ทธ๋ฆผ 9์์ ์
๋ ฅ ์ปคํจ์ํฐ์ ์ถฉยท๋ฐฉ์ ํจํด๊ณผ Vleg์ ๊ธฐํํ์ ๊ตฌ์กฐ๋ฅผ ์ด์ฉํ์ฌ, ํ์ํ Cdc๋ ์ (18)๋ก ๊ตฌํ ์ ์๋ค. ์ถ๋ ฅ ์ปคํจ์ํฐ ์ ๋ฅ ICO๋ ์ ์ ์ํ์์ ๋ถ์ฐ์ ์ ๋ ๋ชจ๋(DCM)๋ฅผ ๊ฐ์ ํ์ฌ ๊ทธ๋ฆผ 13์ ํํํ์๋ค. ์ถ๋ ฅ ๋ค์ด์ค๋์ ๋ํต ์๊ฐ์ด ฮดT/2๋งํผ ๊ฐ์ํ๊ธฐ ๋๋ฌธ์, ์ถ๋ ฅ ๋ค์ด์ค๋ ์ ๋ฅ ํผํฌ๊ฐ IDO=ฯIO/{2(1โฮด)}๋ก ํํ๋๋ค. ์ถ๋ ฅ ์ปคํจ์ํด์ค CO๋ ์ (19)๋ก ์ฃผ์ด์ง๋ค.
๊ทธ๋ฆผ 12. ๋ค์ด์ค๋ ํด๋จํ 4๋ ๋ฒจ FB LLC ๊ณต์งํ ์ปจ๋ฒํฐ (Edge Sag)์ ์ ์ ์ ๋ฌ gain
Fig. 12. Voltage transfer gain of diode-clamped four-level FB LLC resonant converter
(Edge Sag)
๊ทธ๋ฆผ 13. End sag ์ ํ์ ์ถ๋ ฅ ์ปคํจ์ํฐ ์ ๋ฅ ํํ [29]
Fig. 13. Current waveform of the output capacitor of end sag [29]
์์์ ์ค๋ช
์ FB ๋์นญํ End sag ์ ํ์ ๋ํ ๊ฒ์ผ๋ก์จ, ์บ๋ฆฌ์ดํ์ ์์๊ณผ ์นด์ดํ
๋ฐฉํฅ์ ๋ฌ๋ฆฌ ์ ์ฉํ๋ฉด ๋ค์ํ sag ์ ํ์ด ๊ฐ๋ฅํ๋ค
[26,28,29].
๊ทธ๋ฆผ 14๋ ๋์นญ HB/FB ํน์ ๋น๋์นญ FB ์ ํ์ ์ ํฉํ ์บ๋ฆฌ์ดํ์ ํํ๋ฅผ ๋ํ๋ด๊ณ ์๋ค
[35].
๊ทธ๋ฆผ 14. MNRV DPWM ๊ธฐ๋ฐ์ HB/FB DC-DC ์ปจ๋ฒํฐ์ ์ง๋ น ์ ์๊ณผ ์ถ๋ ฅ ๋ ๊ทธ ์ ์ : (a) ๋์นญ HB, (b) ๋์นญ FB, (c)
๋น๋์นญ FB
Fig. 14. Reference voltage and output leg voltage of a HB/FB DC-DC converters with
MNRV DPWM for (a) symmetric HB, (b) symmetric FB, ans (c) asymmetric FB
4.2 ๋ค์ด์ค๋ ํด๋จํ ๋ฉํฐ๋ ๋ฒจ DC-DC ์ปจ๋ฒํฐ ํน์ง
์์ ์ดํด๋ณธ ๋ฐ์ ๊ฐ์ด, ๋ค์ด์ค๋ ํด๋จํ ๋ฉํฐ๋ ๋ฒจ ํ ํด๋ก์ง์ MNRV DPWM์ ์ ์ฉํ๋ฉด DC/DC ์ปจ๋ฒํฐ ๋ถ์ผ์ ๋์ฑ ํจ๊ณผ์ ์ผ๋ก ํ์ฉํ ์ ์๋ค.
MNRV DPWM ๊ธฐ๋ฐ์ ๋ค์ด์ค๋ ํด๋จํ ํ ํด๋ก์ง๋ฅผ ์ ์ฉํ DC/DC ์ปจ๋ฒํฐ๋ ๋ค์๊ณผ ๊ฐ์ ํน์ง์ ๊ฐ๋๋ค.
์ฒซ์งธ, ๋จ์ ์ค์์นญ ์ ์์ด ๊ฐ์ํ์ฌ ์ฐ์ํ ๋ํน์ฑ์ ๊ฐ์ง ์ ๋ด์ ์์๋ฅผ ์ฌ์ฉํ ์ ์์ผ๋ฏ๋ก ๊ธฐ์กด 2๋ ๋ฒจ ์ปจ๋ฒํฐ์ ๋ฌ๋ฆฌ ๋์ ์ ์ ๋ฐ ๋์ ๋ ฅ ๋ถ์ผ์
๋์ฑ ์ฉ์ดํ๊ฒ ์ ์ฉํ ์ ์๋ค.
๋์งธ, PWM ์ธ๋ฒํฐ์ ๋ง์ฐฌ๊ฐ์ง๋ก Pulse Amplitude Modulation (PAM)์ ๊ธฐ๋ฐ์ผ๋ก ์ ์ ์ ์ด๊ฐ ์ฌ์์ง๋ค. ํนํ ๊ณต์งํ ์ปจ๋ฒํฐ์์๋
๊ธฐ์กด์ ์ฃผํ์ ์ค์ ๋ฐฉ์๊ณผ ๋ฌ๋ฆฌ, ์ค์์นญ ์ฃผํ์๋ฅผ ๊ณต์ง ์ฃผํ์์ ๊ณ ์ ํ ์ ์์ด ๊ณต์ง ์์์ ์ค๊ณ๊ฐ ๋์ฑ ๊ฐ๋จํด์ง๋ค[26,28].
์
์งธ, 3๋ ๋ฒจ ๋ฐ 4๋ ๋ฒจ HB/FB LLC๋ฅผ ํฌํจํ์ฌ, 4๋ ๋ฒจ ๋์นญ ์ค์์นญ ์ปจ๋ฒํฐ์ ๊ฒฝ์ฐ ์ ๋ฅ ํน์ฑ์ด ์์ ๊ตฌ์ ๋ฐ์ง ์๊ณ ๋์นญ์ ์ผ๋ก ๋ํ๋๊ธฐ ๋๋ฌธ์
์ด ๊ด๋ฆฌ ์ธก๋ฉด์์ ์ ๋ฆฌํ๋ค. ํนํ 4๋ ๋ฒจ ๋์นญ ์ค์์นญ ์ปจ๋ฒํฐ๋ ๊ธฐ์กด ์์์ฒ์ด ๋ฐฉ์๊ณผ ๋์ ํน์ฑ์ด ๋งค์ฐ ์ ์ฌํ์ง๋ง, ์ถ๊ฐ์ ์ธ ์ ๋ ฅ ์ ๋ฌ ๊ตฌ๊ฐ์ ๊ฐ์ง๋ฏ๋ก
์ํ ์ ๋ฅ๋ฅผ ํ๊ธฐ์ ์ผ๋ก ์ค์ผ ์ ์๋ค๋ ์ฅ์ ์ด ์๋ค[27].
ํํธ, ๋ค์ด์ค๋ ํด๋จํ ๋ฉํฐ๋ ๋ฒจ ํ ํด๋ก์ง๋ฅผ ์ ์ฉํ DC/DC ์ปจ๋ฒํฐ๋ ๊ฒ๋ณด๊ธฐ์๋ ์ ๋ฅ ๋ํต ๊ฒฝ๋ก๊ฐ ๋ง์ ๋นํจ์จ์ ์ด๋ผ๊ณ ์๊ฐ๋ ์ ์๋ค. ํ์ง๋ง ์
๋ ฅ
์ ์์ด ๋์ ์ฒ ๋์ฐจ๋๊ณผ ๊ฐ์ ์ ๋ ฅ ์์คํ
์์๋ ๊ธฐ์กด์ 2๋ ๋ฒจ ์ปจ๋ฒํฐ์ ๊ฒฝ์ฐ ๋์ ์ค์์นญ ์ ์์ผ๋ก ์ธํด ๋ํน์ฑ์ด ์ ํ๋๊ณ , ๋์ ๋ํต ์์ค์ ์ฃผ๋ ์์๋ฅผ
์ฌ์ฉํ ์๋ฐ์ ์๋ค๋ ๋จ์ ์ด ์กด์ฌํ๋ค. ๋ฐ๋ฉด ๋ฉํฐ๋ ๋ฒจ ํ ํด๋ก์ง๋ฅผ ์ ์ฉํ๋ฉด ๊ฐ ์์์ ๊ฑธ๋ฆฌ๋ ์ค์์นญ ์ ์์ ํจ๊ณผ์ ์ผ๋ก ๋ฎ์ถ ์ ์์ด ๋ํน์ฑ์ด ์ฐ์ํ๊ณ
๋ํต ์์ค์ด ๋ฎ์ ์์๋ฅผ ์ฌ์ฉํ ์ ์๋ค. ์ด๋ฅผ ํตํด ์ ์ฒด์ ์ธ ๋ํต ์์ค์ ๋์ฑ ์ค์ผ ์ ์์ผ๋ฉฐ, ํนํ ์
๋ ฅ ์ ์์ด ์ฆ๊ฐํ ์๋ก ์ด๋ฌํ ์ฅ์ ์ด ๋์ฑ
๋๋๋ฌ์ง๋ค. ๊ทธ ์ด์ ๋ ๋ํต ์์ค (i2R)์ด ์ ๋ฅ์ ์ ๊ณฑ์ ๋น๋กํ๊ธฐ ๋๋ฌธ์ ์
๋ ฅ ์ ์์ด ๋์์ง์๋ก ์ ๋ฅ๊ฐ ์ง์์ ์ผ๋ก ๊ฐ์ํ์ฌ ๋น๋ก ๋ํต ์์์ ์๋
์ฆ๊ฐํ์ง๋ง ์ ์ฒด ๋ํต ์์ค์ ๋์ฑ ๊ฐ์ํ๊ธฐ ๋๋ฌธ์ด๋ค.
์ค์์นญ ์์ค ์ธก๋ฉด์์๋ ๊ธฐ์กด ZVS ์ค์์นญ ์ปจ๋ฒํฐ์ ๊ฒฝ์ฐ turn-off ์ ํ ๋ฒ์ ๋์ ์ค์์นญ ์์ค์ด ๋ฐ์ํ์ง๋ง, ๋ค์ด์ค๋ ํด๋จํ ํ ํด๋ก์ง๋ End
sag ์ ์ฉ ์ ์ง๋ น ์ ์์ ๊ทน์ฑ์ด ์(+)์์ ์(-)์ผ๋ก ๋ณํ ๋ ํ๊ท ์ธ ๋ฒ์ ์ค์์นญ์ด ๋ฐ์ํ์ง๋ง, ๋จ์ ์ค์์นญ ์ ์์ด ๊ธฐ์กด ๋๋น ์ฝ 1/3
์์ค์ผ๋ก ๋ฎ๊ธฐ ๋๋ฌธ์ ์ ์ฒด์ ์ธ turn-off ์์ค์ ๊ธฐ์กด์ 2๋ ๋ฒจ ๋ฐฉ์๊ณผ ๋๋ฑํ ์์ค์ ์ ์งํ ์ ์๋ค.
๋ํ, DC 1500V ์ด์๊ณผ ๊ฐ์ ๋งค์ฐ ๋์ ์
๋ ฅ DC ๋งํฌ ์ ์์ ๊ฐ์ง ์ฒ ๋์ฐจ๋ ์ ๋ ฅ ๋ณํ ์์คํ
์์๋ ์ผ๋ฐ์ ์ผ๋ก DC/DC ์ปจ๋ฒํฐ ์์ ๋ณ๋์
์ ์ ์ค์ผ์ผ ๋ค์ด ์ฅ์น๋ ๋์ ๋ด์์ ๊ฒฌ๋๊ธฐ ์ํ cascade ๋๋ ์
๋ ฅ ์ง๋ ฌ ์ถ๋ ฅ ๋ณ๋ ฌ (input-series output-parallel,
ISOP) ๊ตฌ์กฐ๋ฅผ ์ ์ฉํด์ผ ํ๋ค. ์ด๋ฌํ ๊ตฌ์กฐ๋ ์ฌ๋ฌ ๊ฐ์ ์๋ธ ๋ชจ๋๋ก ๊ตฌ์ฑ๋์ด ์์ด ์์คํ
์ด ๋ณต์กํ๊ณ , ๊ฐ ์๋ธ ๋ชจ๋ ๊ฐ ์์ ๋ฏธ์ค๋งค์น ๋ฐ ์ด์ ์
๋ฌธ์ ๋ก ์ธํด ์ ์ ๋ฐธ๋ฐ์ฑ์ ๋ณ๋๋ก ์ฒ๋ฆฌํด์ผ ํ๋ ๋จ์ ์ด ์๋ค. ๋ฐ๋ฉด ๋ค์ด์ค๋ ํด๋จํ ๋ฉํฐ๋ ๋ฒจ ํ ํด๋ก์ง๋ ์ด ๋ชจ๋ ๊ณผ์ ์ ๋จ์ผ ์๋์์๋ฅผ ์ด์ฉํ ์ฑ๊ธ
์คํ
์ด์ง๋ก ์ฒ๋ฆฌํ ์ ์์ ๋ฟ ์๋๋ผ, ๋ณ๋์ ์ ์ ๋ฐธ๋ฐ์ฑ์ ์ํ ๋ณต์กํ ์๊ณ ๋ฆฌ์ฆ์ด ํ์ํ์ง ์์ ์ฅ์ ์ด ์๋ค.
๋ค๋ง, ๋ค์ด์ค๋ ํด๋จํ ๋ฐฉ์์ ํน์ฑ์ ์ค์์นญ ๋ ๋ฒจ์ด ๋์์ง์๋ก ํด๋จํ ๋ค์ด์ค๋ ๊ฐ์๊ฐ ์ง์์ ์ผ๋ก ์ฆ๊ฐํ๋ ๋ฌธ์ ์ ์ด ๋ฐ์ํ๋๋ฐ, ์ด๋ HB ๊ตฌ์กฐ๋ฅผ ์ ์ฉํ์ฌ
ํจ๊ณผ์ ์ผ๋ก ๋์ํ ์ ์๋ค[29].
5. ํ๋กํ ํ์
์คํ ๊ฒฐ๊ณผ
์ ์๋ MNRV DPWM ๊ธฐ๋ฐ์ 3์ ๋ค์ด์ค๋ ํด๋จํ 4๋ ๋ฒจ PWM ์ธ๋ฒํฐ์ ๊ตฌํ ๊ฐ๋ฅ์ฑ์ ๊ฒ์ฆํ๊ธฐ ์ํด ๋ค์๊ณผ ๊ฐ์ ์กฐ๊ฑด์์ ์คํ์ ์ํํ์๋ค.
์คํ ์กฐ๊ฑด์ Vdc=200V, Cdc=7.5mF, fs=60Hz, mf=100, m=0.9, pf=0.9, ๋ถํ ์ํผ๋์ค 24.3ฮฉ์ด๋ค. ํ๋กํ ํ์
ํ๋ก๋ ๊ทธ๋ฆผ 15์ ๋ํ๋ ์๋ค.
๊ทธ๋ฆผ 15. ํ๋กํ ํ์
ํ๋ก : (a) DC/DC ์ปจ๋ฒํฐ, (b) 3์ ์ธ๋ฒํฐ
Fig. 15. Prototype circuits : (a) DC/DC converter, (b) three-phase inverter
๊ทธ๋ฆผ 16์ ์ ์์ํ์์ ์ธก์ ๋ ์ฃผ์ ๋์ ํํ์ ๋ํ๋ธ๋ค. ์ฌ๊ธฐ์๋ ์์ ์ ์ Van, ์ ๊ฐ ์ ์ Vab, ์์ ์ ๋ฅ Ia, Ib๊ฐ ํฌํจ๋๋ฉฐ, ์ถ๊ฐ์ ์ผ๋ก Vab์ Ia์ FFT ๋ถ์ ๊ฒฐ๊ณผ๋ ์ ์๋์๋ค. ์คํ ๊ฒฐ๊ณผ๋ฅผ ์ดํด๋ณด๋ฉด, ์๋ฎฌ๋ ์ด์
์์ ๋
ผ์๋ ํน์ง๋ค์ด ์์ ์ ์ Van ํํ์์ ๋๋ ทํ๊ฒ ๋ํ๋๋ ๊ฒ์ ํ์ธํ ์ ์๋ค. THD ๋ถ์ ๊ฒฐ๊ณผ, Vab๋ 39.1%~47.2%, Ia๋ 2.52%~3.16%๋ก ์ธก์ ๋์๋ค. ์คํ ๊ฒฐ๊ณผ, ์ ์๋ MNRV (D)PWM ๋ฐฉ์์ ๊ธฐ์กด์ ๋ฐฉ์๊ณผ ๋น๊ตํ์ ๋๋ ๊ฒฝ์๋ ฅ ์๋ ์ฑ๋ฅ์ ์ ์งํ๋ ๊ฒ์ผ๋ก
ํ์ธ๋์๋ค. SPWM ๋ฐฉ์์ ์ถ๋ ฅ ์ ์์ THD๊ฐ 39.3%, ์ ๋ฅ์ THD๊ฐ 2.52%๋ก, ๋น๊ต์ ์์ ์ ์ธ ํํ ํ์ง์ ๋ณด์ด๋ฉฐ ๊ธฐ์ค ๋ฐฉ์์ผ๋ก์์
์ญํ ์ ํ๋ค. SVPWM ๋ฐฉ์์ ์ถ๋ ฅ ์ ์ THD๊ฐ 40.7%๋ก ์ฝ๊ฐ ์ฆ๊ฐํ๋ฉฐ, ์ ๋ฅ THD๋ 2.63%๋ก ์ํญ ์์นํ์ฌ SPWM์ ๋นํด ๋ค์ ์ดํ๋
์ฑ๋ฅ์ ๋ณด์ธ๋ค. DPWM60ยฐ ๋ฐฉ์์ ์ ์ THD๊ฐ 39.1%, ์ ๋ฅ THD๊ฐ 2.76%๋ก, ์ ์ ํ์ง์ SPWM๊ณผ ์ ์ฌํ๋ ์ ๋ฅ ํ์ง์ ์ฝ๊ฐ ์ ํ๋๋ค.
๋ฐ๋ฉด, DPWM30ยฐ ๋ฐฉ์์ ์ ์ THD๊ฐ 47.2%๋ก ๊ฐ์ฅ ๋๊ณ , ์ ๋ฅ THD๋ 3.16%๋ก ์ ์ฒด ๋ฐฉ์ ์ค ๊ฐ์ฅ ์ด์
ํ ์ฑ๋ฅ์ ๋ํ๋ธ๋ค. ์ด๋ ์ ์
๋ฐ ์ ๋ฅ ํํ ์๊ณก์ด ๊ฐ์ฅ ์ฌํ ์ฌ๋ก์ด๋ค. DPWM60ยฐ(+30ยฐ) ๋ฐฉ์์ ์ ์ THD๊ฐ 42.8%, ์ ๋ฅ THD๊ฐ 2.63%๋ก, ์ ์ ํ์ง์ ์ดํ๋์์ง๋ง
์ ๋ฅ ํ์ง์ ์ํธํ๊ฒ ์ ์ง๋์๋ค. DPWM60ยฐ(โ30ยฐ) ๋ฐฉ์๋ ์ ์ฌํ ๊ฒฝํฅ์ ๋ณด์ด๋ฉฐ, ์ ์ THD๋ 42.7%, ์ ๋ฅ THD๋ 2.81%์ด๋ค.
๋ง์ง๋ง์ผ๋ก, DPWMMAXorMIN ๋ฐฉ์์ ์ ์ THD๊ฐ 40.2%, ์ ๋ฅ THD๋ 2.64%๋ก, ์ ์ฒด์ ์ผ๋ก ํ๊ท ์ ์ธ ์์ค์ ํํ ํ์ง์ ์ ์งํ๊ณ
์๋ค. ์ด์ ๊ฐ์ ๋ถ์์ ํตํด, ์ ๋ฅ ํ์ง์ ๋๋ถ๋ถ์ ๋ฐฉ์์์ ์ฐ์ํ๊ฒ ์ ์ง๋๋ ๋ฐ๋ฉด, ์ ์ ํํ์ ์๊ณก์ ๋ฐฉ์์ ๋ฐ๋ผ ํฐ ์ฐจ์ด๋ฅผ ๋ณด์ธ๋ค๋ ์ ์ ํ์ธํ
์ ์๋ค.
๊ทธ๋ฆผ 16. ๋ณ์กฐ์ง์ m=0.9, ์ญ๋ฅ pf=0.9์ผ ๋ (a) SPWM, (b) SVPWM, (c) 60ยฐ DPWM, (d) 30ยฐ DPWM, (e)
60ยฐ(+30ยฐ) DPWM, (f) 60ยฐ(-30ยฐ) DPWM, (g) DPWMMAXorMIN์ ์ ์์ํ ๋์ ํํ(Van, Vab, Ia, Ib) ๋ฐ Vab, Ia์ ๊ณ ์กฐํ ์คํํธ๋ผ [32]
Fig. 16. Steady state operational waveforms (Van, Vab, Ia, Ib)and harmonics spectrum of Vab and Ia for(a)SPWM, (b)SVPWM, (c)60ยฐDPWM, (d) 30ยฐDPWM, (e) 60ยฐ(+30ยฐ)DPWM, (f) 60ยฐ(-30ยฐ)DPWM,
and (g) DPWMMAXorMIN when m = 0.9 and pf = 0.9. [32]
๊ทธ๋ฆผ 17. ์ญ๋ฅ pf=0.9์์ ๋ณ์กฐ์ง์ m์ด 0.3์์ 0.9๋ก ๊ธ๋ณํ ๋์ (a) SPWM, (b) SVPWM, (c) 60ยฐ DPWM, (d)
30ยฐ DPWM, (e) 60ยฐ(+30ยฐ) DPWM, (f) 60ยฐ(-30ยฐ) DPWM, (g) DPWMMAXorMIN์ ๋์ ์ฑ๋ฅ [32]
Fig. 17. Dynamic performance of (a) SPWM, (b) SVPWM, (c) 60ยฐDPWM, (d) 30ยฐDPWM, (e)
60ยฐ(+30ยฐ)DPWM, (f) 60ยฐ(-30ยฐ)DPWM, and (g) DPWMMAXorMIN when m suddenly changes from
0.3 to 0.9 with pf = 0.9 [32]
๊ทธ๋ฆผ 17์ ๋ณ์กฐ ์ธ๋ฑ์ค m์ด 0.3์์ 0.9๋ก ๊ธ๊ฒฉํ ๋ณํํ ๋์ ๊ณผ๋ ํน์ฑ์ ๋ํ๋ธ๋ค. ์คํ์ pf=0.9์ ์กฐ๊ฑด์์ ์ํ๋์๋ค. ์ค์ค๋ก์ค์ฝํ์ ๋์
์ธก์ ์ฑ๋ ์์ ์ ํ์ด ์๊ธฐ ๋๋ฌธ์, ๋จผ์ Vdc1, Vdc2, Vdc3, Ia๋ฅผ ์ธก์ ํ ํ, ๋์ผํ ์กฐ๊ฑด์์ Ia, Van, Voffset๋ฅผ ๋ค์ ์ธก์ ํ์ฌ ํํ์ ์ค์ฒฉํ์ฌ ๋น๊ตํ์๋ค. ์คํ์์ ์ฌ์ฉ๋ MNRV (D)PWM ๋ฐฉ์์ Van๊ณผ Voffsetํํ์ ํตํด ๊ตฌ๋ณํ ์ ์๋ค. ์คํ ๊ฒฐ๊ณผ, ๋ณ์กฐ ์ธ๋ฑ์ค m์ด ๊ธ๊ฒฉํ๊ฒ ๋ณํํ๋ ์กฐ๊ฑด์์๋ DC ๋งํฌ ์ ์์ด ์์ ์ ์ผ๋ก ๊ท ํ์ ์ ์งํ๋ฉฐ ์กฐ์ ๋จ์ ํ์ธํ
์ ์์๋ค. ๋ํ, ์ ๋ฅ Ia๋ ๊ณผ๋ ์ํ์์๋ ์๊ณก์ด ์ต์ํ๋ ์์ ์ ์ธ ๋์์ ์ ์งํ๋ ๊ฒ์ผ๋ก ๋ํ๋ฌ๋ค.
์ ์๋ ์ปจ๋ฒํฐ์ ๋์์ ํ์ธํ๊ณ ์ ์ ๊ฐํ ์ ํ๋ณ ์ฑ๋ฅ์ ๋น๊ตํ๊ธฐ ์ํด ํ๋กํ ํ์
์คํ์ ์ํํ์๋ค. ์คํ ์กฐ๊ฑด์ ์ถ๋ ฅ ์ ๋ ฅ PO=1kW, ์
๋ ฅ ์ ์
Vdc=700V, ์ถ๋ ฅ ์ ์ VO=350V, Lr=1.5mH, Lm=4.28mH, Cr=168nF, Cdc=100ฮผF, CO=11ฮผF, n=1.68, fsw=10kHz์ด๋ค. ๊ทธ๋ฆผ 18์ ์ ์ ๊ฐํ ์ ํ๋ณ VA, VB, Vleg, VO, ILr ํํ์ ๋ํ๋ธ๋ค. ๋ชจ๋ ์ ์ ๊ฐํ ์ ํ์์ ์ถ๋ ฅ ์ ์์ด 350V๋ก ์ผ์ ํ๊ฒ ์ ์ง๋จ์ ํ์ธํ ์ ์์ผ๋ฉฐ, ๊ณต์ง ํฑํฌ์ ์
๋ ฅ๋๋ Vleg ๊ฐ์ด ์ ์ ๊ฐํ ์ ํ์ ๋ฐ๋ผ ๋ค๋ฅด๊ฒ ํ์ฑ๋์ด ๊ฐ๊ฐ์ ๋
ํนํ ๊ณต์ง ์ ๋ฅ ํํ๋ฅผ ๋ณด์ธ๋ค. ๋ํ, Vdc1๊ณผ Vdc3์ ํฌ๊ธฐ์ ๋ฐ๋ผ CM ์ ํ์ด ๋ฌ๋ผ์ง์ ํ์ธํ ์ ์๋ค. ์ ๋ฅ RMS ๊ธฐ์ค์ผ๋ก๋ middle sag์ ๊ฒฝ์ฐ ์ถ๋ ฅ ๋ค์ด์ค๋์ ๋ํต ์๊ฐ์ด ๊ฐ์ฅ ๊ธธ์ด ILr์ RMS ๊ฐ์ด ๊ฐ์ฅ ๋ฎ๊ฒ ๋ํ๋ฉ๋๋ค. ๊ทธ๋ฌ๋ middle sag๋ ์ ์ ์ ๋ฌ ์ด๋(voltage transfer gain)์ด ๊ฐ์ฅ ๋ฎ๊ธฐ ๋๋ฌธ์,
dโE ๊ตฌ๊ฐ์ ๊ธธ์ด๋ ๊ฐ์ฅ ๊ธธ๊ณ , ๋ฐ๋๋ก edge sag์ end sag์์๋ dโE๊ฐ ์งง๊ฒ ๋ํ๋ฉ๋๋ค.
๊ทธ๋ฆผ 18. ์ถ๋ ฅ Po=1000W์์ (a) middle, (b) edge, (c) rear, (d) end sag์ ๋ํ ์คํ ๊ฒฐ๊ณผ [26]
Fig. 18. Experimental results for the (a) middle, (b) edge, (c) rear, and (d) end
sags when Po=1000W [26]
๊ทธ๋ฆผ 19. ์ถ๋ ฅ Po=1000W์์ (a) middle, (b) edge, (c) rear, (d) end sag์ ๋ํ ์ ์ ๋ฐธ๋ฐ์ฑ ์ฑ๋ฅ [26]
Fig. 19. Voltage balancing performance for the (a) middle, (b) edge, (c) rear, and
(d) end sags when Po=1000W [26]
๊ทธ๋ฆผ 19๋ ๊ฐ ์ ์ ๊ฐํ ์ ํ๋ณ DC ๋งํฌ ์ปคํจ์ํฐ์ ์ ์ ๊ท ํ ์ ์ง ์ฑ๋ฅ์ ๊ฒ์ฆํ ๊ฒฐ๊ณผ์ด๋ค. ์์ ์ค๋ช
ํ ๋ฐ์ ๊ฐ์ด, ์๋ถ ๋ฐ ํ๋ถ ์ปคํจ์ํฐ์ ์ ์ ํธ์ฐจ์
๋ฐ๋ผ CM์ ์กฐ์ ํจ์ผ๋ก์จ ์ ์ ๋ถ๊ท ํ์ด ์ ๊ฑฐ๋จ์ ํ์ธํ ์ ์๋ค.
6. ๊ฒฐ ๋ก
๋ณธ ๋
ผ๋ฌธ์์๋ ๋ฉํฐ๋ ๋ฒจ ๋ค์ด์ค๋ ํด๋จํ ํ ํด๋ก์ง์์ DC ๋งํฌ ์ ์์ ํจ๊ณผ์ ์ผ๋ก ์ ์ดํ ์ ์๋ MNRV DPWM ๋ฐฉ๋ฒ๋ก ์ ์ ๋ฆฌํ๊ณ , ์ด๋ฅผ 3์ ์ธ๋ฒํฐ์
FB LLC ๊ณต์งํ ์ปจ๋ฒํฐ์ ์ ์ฉํ์ฌ ๊ตฌํ์์ ํน์ง๊ณผ ์ฐจ์ด์ ์ ๋ถ์ํ์๋ค.
MNRV DPWM ๋ฐฉ์์ ์ฌ๋ฌ ์ธ์ ๊ธฐ์ค ์ ์ ๋ฒกํฐ๋ฅผ ํ์ฉํ์ฌ DC ๋งํฌ ์ ์ ๋ถ๊ท ํ ๋ฌธ์ ๋ฅผ ํจ๊ณผ์ ์ผ๋ก ํด๊ฒฐํ๋ฉฐ, ์ปคํจ์ํฐ ์ ์ ๊ท ํ ์ ์ง, ํ๋ฃจํ
์ ์ด ๊ฐ์ํ, ์์คํ
์์ ์ฑ ํฅ์๋ฑ์ ์ด์ ์ ์ ๊ณตํ๋ค.
์คํ์ ํตํด, ์ ์๋ ๋ฐฉ์์ด ์ ์ ๋ถ๊ท ํ ํด์์ ์ ๋ ฅ ๋ณํ ์ฑ๋ฅ ๊ฐ์ ์ ํจ๊ณผ์ ์์ ๊ฒ์ฆํ์๋ค. ๋ํ, DC/AC ๋ฐ AC/DC ๋ณํ๋ฟ๋ง ์๋๋ผ DC/DC
์ปจ๋ฒํฐ์๋ ํญ๋๊ฒ ๋ฒ์ฉ์ ์ผ๋ก ์ ์ฉ ๊ฐ๋ฅํจ์ ํ์ธํ์๋ค.
ํฅํ ์ฐ๊ตฌ์์๋ MNRV DPWM์ ์ต์ ํ ๋ฐ ๋ค์ํ ๋ฉํฐ๋ ๋ฒจ ๋ณํ๊ธฐ์ ๋ํ ์ ์ฉ์ฑ ๊ฒํ ๋ฅผ ํตํด, ๊ณ ํจ์จ ์ ๋ ฅ ๋ณํ ์์คํ
์ค๊ณ๋ฅผ ์ํ ์ถ๊ฐ์ ์ธ ์ฐ๊ตฌ๋ฅผ
์ํํ๊ณ ์ ํ๋ค.
Acknowledgements
This research was supported by a grant from R&D Program (Development of core technologies
to interconnect eco-friendly energy for reducing carbon emissions from the railway
power system, PK2503C2) of the Korea Railroad Research Institute.
References
J. Rodriguez, J.-S. Lai and F. Z. Peng, โMultilevel inverters: a survey of topologies,
controls, and applications,โ IEEE Trans. Ind. Electron., vol. 49, no. 4, pp. 724โ738,
Aug. 2002.

S. Kouro et al., โRecent Advances and Industrial Applications of Multilevel Converters,โ
IEEE Trans. Ind. Electron., vol. 57, no. 8, pp. 2553โ2580, Aug. 2010.

K. K. Gupta, A. Ranjan, P. Bhatnagar, L. K. Sahu and S. Jain, โMultilevel inverter
topologies with reduced device count: a review,โ IEEE Trans. Power. Electron., vol.
31, no. 1, pp. 135โ151, Jan. 2016.

S. A. Gonzalez, S. A. Verne and M. I. Valla, Multilevel Converters for Industrial
Applications, Boca Raton, FL, USA:CRC Press, 2013.

W. Jiang et al., โA novel virtual space vector modulation with reduced common mode
voltage and eliminated neutral point voltage oscillation for neutral point clamped
three-level inverter,โ IEEE Trans. Ind. Electron., vol. 67, no. 2, pp. 884โ894, Feb.
2020.

J. Pou, R. Pindado and D. Boroyevich, โVoltage-balance limits in four-level diode-clamped
converters with passive front ends,โ IEEE Trans. Ind. Electron., vol. 52, no. 1, pp.
190โ196, Feb. 2005.

Z. Shu, X. He, Z. Wang, D. Qiu and Y. Jing, โVoltage balancing approaches for diode-clamped
multilevel converters using auxiliary capacitor-based circuits,โ IEEE Trans. Power
Electron., vol. 28, no. 5, pp. 2111โ2124, May 2013.

K. Sano and H. Fujita, โVoltage-balancing circuit based on a resonant switched capacitor
converter for multilevel inverters,โ IEEE Trans. Ind. Appl., vol. 44, no. 6, pp. 1768โ1776,
Nov./Dec. 2008.

D. Cui and Q. Ge, โA novel hybrid voltage balance method for five-level diode-clamped
converters,โ IEEE Trans. Ind. Electron., vol. 65, no. 8, pp. 6020โ6031, Aug. 2018.

I. Harbi et al., โModel predictive control of multilevel inverters: Challenges recent
advances and trends,โ IEEE Trans. Power Electron., vol. 38, no. 9, pp. 10845โ10868,
Sep. 2023.

W. Wu and D. Wang, โAn optimal voltage-level based model predictive control approach
for four-level T-type nested neutral point clamped converter with reduced calculation
burden,โ IEEE ACCESS, vol. 7, pp. 87458โ87468, 2019.

I. Harbi et al., โModel predictive control of multilevel inverters: Challenges recent
advances and trends,โ IEEE Trans. Power Electron., vol. 38, no. 9, pp. 10845โ10868,
Sep. 2023.

M. Wu, C. Xue, Y. W. Li and K. Yang, โA generalized selective harmonic elimination
PWM formulation with common mode voltage reduction ability for multilevel converters,โ
IEEE Trans. Power Electron., vol. 36, no. 9, pp. 10753โ10765, Sep. 2021.

R. P. Aguilera, P. Acuรฑa, P. Lezana, G. Konstantinou, B. Wu, S. Bernet, et al., โSelective
harmonic elimination model predictive control for multilevel power converters,โ IEEE
Trans. Power Electron., vol. 32, no. 3, pp. 2416โ2426, Mar 2017.

S. Zhao, F. Blaabjerg and H. Wang, โAn overview of artificial intelligence applications
for power electronics,โ IEEE Trans. Power Electron., vol. 36, no. 4, pp. 4633โ4658,
Apr. 2021.

M. Mehrasa, M. Babaie, M. Sharifzadeh and K. Al Haddad, โAn input-output feedback
linearization control method synthesized by artificial neural network (ANN) for grid-tied
packed E-cell inverter,โ IEEE Trans. Ind. Appl., vol. 57, no. 3, pp. 3131โ3142, May/Jun.
2021.

S. Vinnakoti and V. R. Kota, โImplementation of artificial neural network based controller
for a five-level converter based UPQC,โ Alexandria Eng. J., vol. 57, no. 3, pp. 1475โ1488,
Sep. 2018.

S. Busquets-Monge, J. Bordonau, D. Boroyevich and S. Somavilla, โThe nearest three
virtual space vector PWMโA modulation for the comprehensive neutral-point balancing
in the three-level NPC inverter,โ IEEE Power Electron Lett., vol. 2, no. 1, pp. 11โ15,
Mar. 2004.

S. Busquets-Monge, S. Alepuz, J. Bordonau and J. Peracaula, โVoltage Balancing Control
of Diode-Clamped Multilevel Converters With Passive Front-Ends,โ IEEE Trans. Power
Electron., vol. 23, no. 4, pp. 1751โ1758, Jul. 2008.

S. Busquets-Monge, S. Alepuz, J. Rocabert and J. Bordonau, โPulsewidth Modulations
for the Comprehensive Capacitor Voltage Balance of n-Level Three-Leg Diode-Clamped
Converters,โ IEEE Trans. Power Electron., vol. 24, no. 5, pp. 1364โ1375, May. 2009.

S. Busquets-Monge, R. Maheshwari, J. N.-Apruzzese, E. Lupon, S. M. Nielsen and J.
Bordonau, โEnhanced DC-link capacitor voltage balancing control of DCโAC multilevel
multileg converters,โ IEEE Trans. Ind. Electron., vol. 62, no. 5, pp. 2663โ2672, May
2015.

K. Wang, Z. Zheng and Y. Li, โA novel carrier-overlapped PWM method for four-level
neutral-point clamped converters,โ IEEE Trans. Power Electron., vol. 34, no. 1, pp.
7โ12, Jan. 2019.

K. Wang, Z. Zheng, L. Xu and Y. Li, โA generalized carrier-overlapped PWM method for
neutral-point-clamped multilevel converters,โ IEEE Trans. Power Electron., vol. 35,
no. 9, pp. 9095โ9106, Sep. 2020.

K. Wang, Z. Zheng and Y. Li, โTopology and control of a four-level ANPC inverter,โ
IEEE Trans. Power Electron., vol. 35, no. 3, pp. 2342โ2352, Mar. 2020.

M. Wu, Y. W. Li, H. Tian, Y. Li and K. Wang, โModified carrier-overlapped PWM with
balanced capacitors and eliminated dead-time spikes for four-level NNPC converters
under low frequency,โ IEEE J. Emerg. Sel. Topics Power Electron., vol. 10, no. 6,
pp. 6832โ6844, Dec. 2022.

M.-S. Song and J.-B. Lee, โPulse-Amplitude-Modulation Full-Bridge Diode-Clamped Multilevel
LLC Resonant Converter Using Multi-Neighboring Reference Vector Discontinuous PWM,โ
Energies, vol. 15, no. 11, pp. 4045, 2022.

M.-S. Song, J.W. Kim and J.-B. Lee, โFull-Bridge Diode-Clamped Four-Level Symmetric
Switching Converter,โ IEEE ACCESS, vol. 11, pp. 103350โ103363, 2023.

M.-S. Song et al., โPulse-Amplitude-Modulation Full-Bridge Diode-Clamped Three-Level
LLC Resonant Converter With Offset Voltage Injection Method,โ Trans. Korean Inst.
Electr. Eng., vol. 71, no. 9, pp.1342โ1350. 2022.

M.-S. Song, J.-B. Lee, H. Jung and H. Kim, โHalf-Bridge Diode-Clamped Four-level LLC
Resonant Converter with Pulse-Amplitude-Modulation for Railway Applications,โ J. Electr.
Eng. Technol. vol. 18, pp. 4481โ4497, 2023.

W. Song, X. Feng and K. M. Smedley, โA carried-based PWM strategy with the offset
voltage injection for single phase three-level neutral-point-clamped converters,โ
IEEE Trans. Power Electron., vol. 28, no. 3, pp. 1083โ1095, Mar. 2013.

E. S. Jun, M. H. Nguyen and S. S. Kwak, โModel predictive control method with NP voltage
balance by offset voltage injection for three-phase three-level NPC inverter,โ IEEE
Access, vol. 8, pp. 172175โ172195, Sep. 2017.

M.-S. Song, J. Kim and H.-H. Cho, โThree-Phase Diode-Clamped Four-Level PWM Inverter
With Offset Voltage Injection,โ IEEE ACCESS, vol. 12, pp. 94035โ94054, 2024.

M.-S. Song, โAnalysis and Implementation of the MNRV DPWM Methods Applied to Single-Phase
Diode-Clamped Four-Level PWM Inverter,โ IEEE ACCESS, vol. 12, pp. 196455โ196474, 2024.

H. Hong, โFHA-based voltage gain function with harmonic compensation for LLC resonant
converter,โ Proc. IEEE 25th Annu. Appl. Power Electron. Conf. Expo., pp. 1770โ1777,
2010.

M.-S. Song, J. Kim, H. Jung & H. Kim โFull-Bridge Diode-Clamped Four-Level Asymmetric
Switching Converter,โ Trans. Korean Inst. Electr. Eng., vol. 73, no. 6, pp.1042-1052,
2024.

์ ์์๊ฐ
He received the B.S., M.S. and Ph.D. degrees, in 2005, 2007 and 2011, respectively,
from the Department of Electrical Engineering, Pohang University of Science and Technology,
Pohang, Korea. He is currently a Senior Researcher with the Railroad Safety Division,
Korea Railroad Research Institute, Uiwang, Korea. His research interests include the
development of novel circuit topologies and suitable switching modulation techniques
for high-power and high-voltage power conversion systems.
He received the B.S., M.S. and Ph.D. degrees in electrical engineering from Korea
University, Seoul, South Korea, in 2006, 2008, and 2018, respectively. He is currently
a Principal Researcher with Korea Railroad Research Institute, Uiwang, South Korea.
His research interests include onboard energy storage system for railway trains, traction
power supply system analysis, and railway electric components reliability analysis.
He received the B.S. degree from the school of Electrical Engineering at Dankook University,
Yongin, Korea, in 2014 and M.S. and Ph.D. degrees in electrical engineering from Korea
University, Seoul, Korea, in 2020. He is currently a senior researcher with the Smart
Electrical & Signaling Division, Korea Railroad Research Institute, Uiwang, Korea.
He received his BS and MS degree in Electrical Engineering from Korea University,
Seoul, Korea in February 1991 and in February 1993 respectively. He then worked for
LG electronics Inc. for 6 years. He received a Ph.D. degree from TexasA&M University
in August 2003. Currently, he is working for Korea Railroad Research Institute. His
research area is traction power system and power system reliability.
He received a B.S and M.S. degrees in Electrical engineering from Sungkyunkwan University,
Republic of Korea, in 1995 and 1998, respectively. He received a Ph.D. degree from
the Electrical Electronic and Computer Engineering from Sungkyunkwan University in
2002. He is currently a chief Researcher with the Smart Electrical & Signaling Division,
Korea Railroad Research Institute, Uiwang, South Korea.