전세현
(Se-Hyun Jeon)
1iD
김정수
(Jung-Su Kim)
†iD
-
(Dept. of Applied Artificial Intelligence in Defense, Seoul National University of
Science and Technology, Republic of Korea.)
Copyright © The Korean Institute of Electrical Engineers
Key words
Guidance law, Lyapunov function, Robustness, Collision triangle, Disturbance, Miss distance
1. 서 론
미사일 유도 시스템은 고속 기동 목표물을 정확히 요격하기 위해 불확실한 환경에도 불구하고 안정적이고 신뢰성 있는 성능을 요구한다. 이러한 시스템은
전투 현장에서의 실시간 작전 요구사항을 충족시키기 위해, 목표물의 예측 불가능한 움직임과 외부 요인에 효과적으로 대처해야 한다. 특히, 목표물의 불규칙한
기동, 센서 노이즈, 외란과 같은 방해 요소는 유도 법칙의 성능에 큰 영향을 미친다. 이러한 요인들은 미사일의 궤적을 왜곡시키거나 요격 확률을 낮추어,
목표 도달 실패의 원인이 될 수 있다. 따라서 본 연구는 이러한 문제를 해결하고, 고속 기동 목표물에 대한 요격 성능을 향상하기 위한 새로운 유도
법칙을 제안하는 것을 목표로 한다. 이를 통해, 기존 방법의 한계를 극복하고 더 강건한 시스템을 개발하고자 한다.
기존 연구에서는 비례 항법 유도(Proportional Navigation Guidance, PNG)가 미사일 유도 시스템의 대표적인 방법으로 널리
사용됐다[1]. PNG는 시선각 속도와 비례상수를 활용하여 미사일의 가속도를 계산하는 단순한 구조로, 구현 용이성과 높은 신뢰성 덕분에 오랫동안 표준 유도 법칙으로
자리 잡았으며[2], 비선형 운동방정식에 기반하여 PNG가 거리 가중 제어 에너지를 최소화하는 최적 유도 법칙임을 보인 연구도 보고된다[18]. 그러나 PNG는 목표물이나 고속 기동, 불규칙한 운동 패턴, 센서 노이즈와 같은 복잡한 상황에서 성능이 저하되는 한계를 보인다[3]. 예를 들어, 목표물이 급격한 회피 기동할 경우, PNG는 과도한 가속도 요구로 인해 에너지 소모가 증가하거나 목표 요격에 실패할 수 있다. 또한,
외란의 영향을 받는 환경에서 안정성을 보장하지 못하는 경우가 많아, 현대 전투 시나리오에 적합하지 않다는 지적이 제기되어 왔다[5].
이에 대한 해결책으로, 최근에는 인공지능과 강화 학습 기반 접근법이 주목받으며 다양한 환경에서의 자율적 의사결정을 가능하게 했다[6]. 이러한 방법은 데이터 학습을 통해 복잡한 상황을 대비하고 적응할 수 있는 장점이 있다. 그러나 강화 학습을 이용하여 복잡한 목표물 추적 문제를
해결하기 위해서는 계산 복잡성과 학습 데이터와 계산 자원에 대한 의존성이 크며 설계자가 명시적으로 안정성을 보장하기 어렵다는 한계가 있다[7,21,22]. 또한, 강화 학습 기반의 방법은 PNG에 비해 제어 효율과 안정성 면에서 일관된 성능을 보장하지 못하는 경우가 많다는 단점이 있다[8]. 이러한 한계로 인해, 실전 배치 시 안정성과 신뢰성 확보가 주요 과제로 남아있다.
이에 따라 본 연구는 PNG의 한계를 극복하고, 불확실성을 포함한 환경에서도 높은 요격 확률과 안정성을 유지하며 간단한 구조로 계산 효율성을 보장하는
유도 법칙을 설계한다. 이를 위해, 해양 항법에서 유래한 충돌 삼각형(collision triangle) 개념을 활용하여 목표물과 미사일, 예상 충돌
지점 간의 기하학적 관계를 정의하고[11,17], 이를 응용하여 별도의 외란 관측기 없이 강건성을 가지는 발전된 유도 법칙을 제안한다. 충돌 삼각형은 미사일 유도 법칙의 초석이 되는 개념으로,
다양한 유도 법칙에서 사용되고 있다. 예를 들어, 종말 충돌각 제약을 만족하기 위해 보조 루프를 합성한 준최적 호밍 유도 법칙을 제안하는 연구에서는
LQ 최적제어 구조에 추가 자유도를 부여하는 방식으로 충돌각을 처리하여 충돌 삼각형과 각도를 활용하였다[19]. 이와 같이 충돌 삼각형은 요격 과정에서 최적의 각도를 계산하는 데 유용하며, 기하학적 안정성을 제공한다[12].
제안하는 방법은 충돌 삼각형을 기반으로 목표 각도를 정의하고, 리야프노프 안정성 이론을 적용하여 미사일 방향 벡터와 목표 각도 간의 오차를 점진적으로
0으로 수렴시키는 유도 법칙을 설계한다[10,15]. 파라미터 변동성을 다루기 위해 사용한 tanh 함수는 리야프노프 안정도 이론과 함께 시스템의 안정성을 보장하며, 센서 노이즈, 목표물의 불규칙
기동, 바람 등의 외란에 대한 강건성을 제공한다[9]. 특히, 본 접근법은 별도의 외란 관측기 없이도 안정성을 유지하도록 설계되어 계산 효율성을 높이고 실시간 적용 가능성을 강화한다[13]. 이를 통해 고속 기동 목표물 추적에서 향상된 성능을 달성할 수 있는 유도 법칙을 제안한다[14]. 모의실험을 통해 제안 법칙이 다양한 불확실성과 운전 조건에도 목표를 달성하는 강건성을 제공함을 검증한다.
2. 미사일 역학 및 환경 모델링
이 장에서는 제안하는 미사일 유도 문제의 수학적 모델링을 소개한다.
2.1 미사일 및 목표의 운동 방정식
본 논문에서는 미사일과 목표물이 z축을 고려하지 않은 x-y 2차원 평면에서 운동하는 상황을 가정한다. 미사일과 목표물은 그림 1과 같이 속도 벡터 $\vec{V}_{M}$, $\vec{V}_{T}$에 수직인 방향 가속도 $\vec{a}_{M}$와 $\vec{a}_{T}$를
이용하여 방향을 변경한다. 목표물은 시간에 따라 속도를 변경할 수 있으며, 미사일은 목표물의 입력인 방향 제어 가속도를 알 수 없다. 또한 미사일과
목표물 모두 바람의 영향을 받으나, 영향을 받는 바람의 세기는 각각 상이하다. 미사일과 목표물의 상태 방정식을 소개하기 위해 다음과 같은 변수를 정의한다.
그림 1. 미사일과 목표물의 역학
Fig. 1. Dynamics of missile and target
$V_{T}:$ 목표물의 속도
$V_{M}:$ 미사일의 속도
$a_{T}:$ 목표물의 방향 가속도
$a_{M}:$ 미사일의 방향 가속도
$\theta_{T}:$ 목표물의 방향각
$\theta_{M}:$ 미사일의 방향각
미사일의 속도 벡터 $\vec{V}_{M}$와 미사일의 방향 가속도 벡터 $\vec{a}_{M}$사이의 관계를 이용하여 방향각 벡터의 변화량 $\dot{\theta}_{M}$을
다음과 같이 유도한다.
여기서 그림 1을 참고하여, $i$는 $x$방향 단위벡터, $j$는 $y$방향 단위벡터이고, 수식 마지막 줄에서는 속도 벡터 $\vec{V}_{M}$의 시간에 따른
미분이 방향 가속도($\vec{a}_{M}$)가 된다는 사실을 이용하였다.
이 관계식으로부터 미사일 방향각의 시간에 따른 변화는 수식 (2)과 같이 쓸 수 있다.
여기서 분모의 $w$는 바람의 영향을 나타내기 위해 추가한 파라미터이며 공칭 모델에서는 0으로 생각할 수 있다. 동일한 방식으로 $\dot{\theta_{T}}$에
대한 수식을 유도하면 수식 (3)와 같다.
이때, $a_{D}$는 목표물의 방향 조절을 위한 제어 입력이며 사용자와 미사일은 $a_{D}$에 대한 정보를 알 수 없다. $a_{c}$는 미사일의
방향을 위한 제어 입력이다. 그림 1로부터 미사일과 목표물 사이의 거리 $R$과 미사일이 목표물을 바라보는 시선각 $\beta$의 시간에 따른 변화율은 다음과 같이 표현할 수 있다.
여기서 $w$는 바람에 의한 영향을 나타낸다. 지금까지 유도한 수식 (1)-(5)는 미사일과 목표물의 동특성을 기술하며 이후 미사일 유도 제어를 위한 모델로 이용된다.
본 연구에서, 미사일이 목표물을 격추하기 위해 다음과 같은 가정을 고려한다.
가정 1. $V_{T}=\rho V_{M}$, $(0\le\rho <1)$: 목표물의 속력은 항상 미사일의 속력보다 느리다.
가정 2. $\left | a_{D}\right |\le\overline{c}$, $(\overline{c}>0)$: 목표물의 방향 제어 입력은 알
수 없으나 최대 기동값을 예상하여 그 값의 상하한의 크기인 $\overline{c}$는 알 수 있다.
가정 3. 바람에 의한 힘은 미사일 및 목표물에 모멘트와 돌림힘을 발생시키지 않는다.
2.2 충돌 삼각형
충돌 삼각형은 사인 법칙을 기반으로 서로에게 일정한 방위각을 유지하면서 거리가 감소하면 결국 충돌한다는 국제 해상 충돌 방지 규칙에 명시된 항해 개념이다.
그림 2와 같이, 미사일 유도에서 충돌 삼각형은 미사일, 목표물, 예상 충돌 지점 사이에서 형성되는 삼각형을 의미한다[17]. 이때 상대 속도 벡터 $\vec{V}_{r e l}=\vec{V}_{M}-\vec{V}_{T}$이 미사일이 목표를 바라보는 시선 $R$과 평행할
때 시선각 $\beta$는 변화하지 않고 유지된다. 이때, 시간에 따른 거리 $R(t)$가 시간 $t$에 따라서 $R(t)= R_{0}-V_{r e
l}\cdot t$, $(V_{r e l}>0)$로 선형적으로 감소하면 $t =\dfrac{R_{0}}{V_{r e l}}$의 시각에서 $R(t)=0$이
되어 충돌한다[16]. 이는 비례 항법을 이용한 미사일 유도 법칙과 유사하다. 그림 2의 방위각 $u$와 $v$는 다음과 같은 관계식을 만족한다[15].
이때 $k$는 사용자가 지정하는 양의 상수이며 보정 계수이다. 이 보정 계수를 적절히 조절하고 $u$의 값을 보정 값 $ku$로 수정하여 미사일의
오차 각도(그림 3의 $\Delta S$)가 0으로 수렴하는 속도를 조절할 수 있으며 이는 궁극적으로 미사일이 목표물을 타격할 수 있게 한다. $k$값이 커지면 오차
수렴이 가속화되어 목표 각도와의 정렬이 빨라져 더 빠른 도달 시간을 만들 수 있다. 반대로, $k$값이 작아지면 수렴 속도가 느려져 도달 시간이 증가할
수 있으나, 더 부드러운 응답을 제공한다. 그러나 $k$값이 너무 크거나 낮으면 필요 이상의 제어, 증폭된 노이즈로 인한 오버슛, 너무 긴 목표 도달
시간과 같은 문제가 발생할 수 있으므로 상황에 따라 적절한 값을 지정해야 한다.
그림 2. 충돌 삼각형에서의 각도 파라미터
Fig. 2. Angle parameters in collision triangle
2.3 바람 모델링
본 연구에서 구현되는 바람은 난류와 돌풍으로 구분되고 모델 (1)-(4)에서 $w$로 표현되며 속도 및 위치에 영향을 주는 파라미터 변동성과 같은 역할을 한다. 두 바람은 미사일과 목표물에 대해 각각 상이한 세기로 적용되어
위치를 왜곡한다. 난류와 돌풍은 다음과 같이 정의된다.
난류:
$a$는 난류 가중치, $V_{set}$은 난류 최대 속도, $b$는 변수 가중치, $N$는 무작위 변수이다.
돌풍 (발생 시간: $t_{gust}$~$t_{gust}+T_{g}$):
$V_{gust_{\max}}$은 돌풍 최고 속도, $t_{gust}$은 돌풍 시작 시각, $T_{g}$은 돌풍 지속 시간이다.
이러한 바람 모델은 미사일과 목표물의 동역학에 영향을 주어 시선각 $\beta$와 충돌 삼각형 내부 각도 $u,\: v$의 변화를 유발하며, 제안된
유도 법칙의 각도에 대한 불확실성으로 작용하여 미사일이 목표물을 명중하는데 어려움을 일으킨다.
다음 장에서는 이러한 불확실성에도 미사일이 목표물을 타격하는 유도 법칙을 리야프노프 안정도 이론을 이용하여 제안한다.
그림 3. 오차 각도 $\Delta S$
Fig. 3. Error angle $\Delta S$
3. 제어기 설계
그림 3에 나타난 바와 같이, 충돌 삼각형 내에서 형성되는 각도를 활용하여 보정된 목표 각도 $ku$와 미사일의 방향각 $\theta_{M}$간의 차이를
오차 각도 $\Delta S$로 정의하며 다음과 같이 표현된다.
$\Delta S$가 0으로 수렴하게 된다면 $\beta = ku+\theta_{M}$이 성립하므로 미사일의 진행 방향이 목표로 하는 방향과 완전히
일치한다는 것을 의미한다. 이때 $\Delta S=0$일 경우 미사일의 각도 $\theta_{M}$이 보정각 $k\cdot u$를 반영한 목표 방향과
미사일의 진행 방향이 일치하게 된다. 이 상태가 유지된다면 $V_{M}>V_{T}$일 때 충돌 삼각형 원리에 의하여 미사일과 목표물은 결국 충돌하게
된다. 이를 위해 리야프노프 안정도 이론을 적용해 $\Delta S$가 점진적으로 0으로 수렴하게 되어 미사일의 제어 오차를 줄이는 유도 법칙을 설계한다.
3.1 목표의 예측 불가능한 움직임에 대한 제어 설계
본 절에서는 바람이 없고 (즉, $w=0$) 목표물의 입력 $a_{D}$를 알 수 없는 상황을 고려한다. 목표물의 기동 재원을 사전 정보로 활용하여
상하한 $\overline{c}$ $(\overline{c}>0)$를 알 수 있다고 가정한다. 다음 정리는 미지의 $a_{D}$에도 불구하고 제어
목표를 달성하는 유도 법칙을 설계한다.
정리 1: 미사일과 목표물의 동특성을 기술하는 모델 (1)-(4)에 대해서 가정 1과 2가 성립한다고 하자. $w=0$인 경우 미사일의 제어 입력을 (13)와 같이 설계하면 오차 각도가 0으로 수렴하여 결국 미사일이 목표물을 명중한다.
증명:
리야프노프 후보 함수를 다음과 같이 정의한다.
리야프노프 함수의 시간에 관한 미분은 수식 (12)을 이용하여 아래와 같이 나타낼 수 있다.
여기서, $d_{1}=\tan h[\beta -\theta_{T}]\cdot\dfrac{V_{T}\cdot\cos(v)}{V_{M}\cdot\cos(u)}$이다.
이때, $V\ge 0$이므로 리야프노프 안정도 이론에 따라 미사일의 제어 입력 $a_{c}$를 $\dot{V}\le 0$가 만족되도록 설계해야 하므로
$a_{c}=(1+kd_{1})\dot{\beta}+ a_{c1}$ 와 같이 가정하고 이를 대입하면 다음과 같다.
이때, $a_{c1}$은 추후 결정될 값이다. 오차 각도 $\Delta S$의 부호에 따라 리야프노프 함수의 미분 $\dot{V}$의 최댓값이 변화하므로
$\Delta S >0$와 $\Delta S <0$ 두 가지 경우로 나누어 $\dot{V}$가 항상 음수가 되도록 아래와 같이 정리할 수 있다.
$\Delta S >0$인 경우, $\dot{V}$의 최댓값은 $\dot{\theta}_{T}=-\overline{c}$일 때 얻어지므로, $\dot{V}\le
-\Delta S(-kd_{1}\overline{c}+a_{c1})$에서 $a_{c1}=kd_{1}\overline{c}+\epsilon\Delta
S
$ 와 같이 설정하면, 다음 식을 얻는다.
여기서 $\epsilon > 0$이며 충분이 작은 수임을 가정한다.
$\Delta S <0$인 경우, $\dot{V}$의 최댓값은 $\dot{\theta}_{T}=\overline{c}$일 때 얻어지므로, $\dot{V}\le
-\Delta S(kd_{1}\overline{c}+ a_{c1})$에서 $a_{c1}= -kd_{1}\overline{c}+\epsilon\Delta
S$와 같이 설정하면, 다음 식을 얻는다.
그러므로 시간에 따른 리야프노프 함수 $V(t)$의 정의를 이용하여 이 부등식은 $\dot{V}(t)\le -2\epsilon V(t)$의 형태로
표현할 수 있다. 비교 소정리(comparison lemma)에 의해서 이 부등식은$V(t)$가 지수적으로 0으로 수렴함을 의미하므로 $\Delta
S=0$이 지수적으로 안정하다. 이는 미사일이 목표물에 명중함을 의미한다.
본 절에서 거동 예측이 불가능한 목표물을 타격하는 미사일의 유도 법칙을 설계하였다. 정리 1의 증명 과정에서 $\Delta S$가 가질 수 있는 두
가지 경우를 다루는 부분은 불연속성을 가지는 슬라이딩 모드 제어기와 유사한 면이 있지만 (13)에서 보인 바와 같이 제안하는 설계 법칙은 tanh 함수를 이용하여 부드러운 제어 입력이 생성되면서 목표를 달성한다.
3.2 바람의 영향에 대한 제어 설계
본 절에서는 바람의 영향이 존재하고 3.1절과 마찬가지로 목표물의 입력 $a_{D}$를 알 수 없지만 목표물 기동의 상하한 값 $\overline{c}$
$(\overline{c}>0)$를 알 수 있는 상황에 대해서 유도 법칙을 설계한다. 외란 $w$는 가정 3을 만족하며 $\dot{\beta}$에
영향을 미친다. 수식 (5)에 기술된 $\dot{\beta}$의 우변을 분석하면 $vert\dot{\beta}(t)vert\le\overline{\beta}$를 만족하는 $\dot{\beta}$의
상하한 값 $\overline{\beta}$를 계산할 수 있다. $\overline{\beta}$와 목표물 기동 상하한 값 $\overline{c}$을
정리 1과 유사한 방식으로 이용하면 $\Delta S$가 0으로 수렴하도록 하여 바람의 영향이 있음에도 미사일이 목표물을 타격할 수 있는 유도 법칙을
설계할 수 있다. 다음 정리는 바람의 영향과 미지의 $a_{D}$에도 불구하고 목표를 달성하는 유도 법칙을 설계한다.
정리 2: 미사일과 목표물의 동특성을 기술하는 모델 (1)-(4)에 대해서 가정 1, 2, 3이 성립한다고 하자. 미사일의 제어 입력을 (17)과 같이 설계하면 미지의 $a_{D}$와 바람의 영향에도 불구하고 미사일과 목표물 사이의 오차 각도가 0으로 수렴하게 되어 미사일이 목표물에 도달한다.
증명:
수식(14)과 같은 리야프노프 함수를 고려하고 (1)-(4)를 이용하면 (15)와 동일한 리야프노프 함수의 시간에 대한 미분을 얻을 수 있다.
$\Delta S >0$인 경우, $\dot{V}$의 최댓값은 $\dot{\beta}$와 $\dot{\theta_{T}}$이 다음과 같은 조건일 때
달성된다.
여기서 주목할 것은, 정리 1과 달리 바람의 영향이 존재하는데 즉, $w neq 0$인데 $\dot{V}$를 계산하는 과정에서 바람의 상한을 고려하게
되며 그 값은 $\overline{\beta}$에 포함되게 된다.
이때, $\dot{\beta}$의 예측 상하한 $\overline{\beta}$와 목표물의 기동 상하한선 $\overline{c}$를 이용하여 $\dot{V}$의
상한을 다음과 같이 표현할 할 수 있다.
$\dot{V}$를 음으로 만들기 위해서 제어 입력을 다음과 같이 설정하면
$\dot{V}\le\Delta S\cdot(-\epsilon\Delta S)=-\epsilon\Delta S^{2}$을 얻는다.
$\Delta S <0$인 경우, $\dot{V}$의 최댓값은 $\dot{\beta}$와 $\dot{\theta}_{T}$가 다음 조건일 때 달성된다.
마찬가지로, 예측 상하한 $\overline{\beta}$와 $\overline{c}$를 이용하여 $\dot{V}$의 상한을 표현하면 다음과 같다.
$\dot{V}$를 음으로 만들기 위해 제어 입력을 다음과 같이 설정하면 $\dot{V}\le\Delta S\cdot(-\epsilon\Delta
S)=-\epsilon\Delta S^{2}$을 얻을 수 있다.
그러므로, $\Delta S$의 부호에 따른 두 경우를 모두 고려하는 (17)에서 제안된 제어기를 통해 정리 1의 증명과 동일하게 $\dot{V}(t)\le
-\epsilon V(t)$이 성립되며 이는 바람의 영향에도 불구하고 $\Delta S$를 0으로 수렴하게 한다. 즉, 미사일이 목표물에 도달함을
의미한다.
본 절에서 제안된 제어기는 목표물의 예측 불가능한 움직임뿐만 아니라 바람으로 인한 외란 $w$의 영향을 동시에 고려한다. 제어기는 오차 각도의 부호($\Delta
S$>0 또는 $\Delta S$<0)에 따라 리야프노프 함수 미분 상한의 최댓값을 고려하고 $\tan h$함수를 통해 외란과 기동 불확실성을 동시에
보상한다. 이러한 결과는 기존 결과들에서 외란을 고려하기 위하여 별도의 외란 관측기를 사용하거나 불연속적인 입력을 사용하는 것과 차별된다.
4. 성능 분석
본 장에서는 제안된 유도 법칙의 성능과 강건성을 검증하기 위하여 다양한 환경 조건에서 모의실험 결과를 제시한다. 모의실험은 MATLAB 환경에서 구현되었다.
실험이 종료되는 조건은 아래와 같다.
1. 미사일이 목표에 명중하는 조건 $R\le 1$을 만족
2. 목표가 미사일이 인식할 수 있는 각도($\theta_{FOV}\ge\dfrac{\pi}{2}$)를 이탈
그림 4. 외란에 따른 제어기의 모의실험 결과 (a)미사일 및 표적의 궤적, (b)시간에 따른 거리
Fig. 4. Comparing simulation results of controllers
3. 제한시간 초과
4.1 바람 고려 설계 차이에 대한 성능
그림 4는 동일한 초기 조건 하에서 수행된 모의실험 결과로, 본 논문 정리 1에서의 유도 방법, 정리 2에서의 유도 방법, 비례 항법 유도(PNG)에 관한
결과를 나타낸다. 여기서 (a)는 각 미사일과 목표물의 궤적을 나타내며, (b)는 시간에 따른 미사일과 목표물간의 거리를 나타낸다. 초기 조건은 아래
표 1에 정리된 것과 같으며, 바람 설정은 표 2와 같은 수치로 실험을 진행하였다. 비례 항법 유도는 아래와 같이 설계되었다.
표 1. 모의실험 초기 설정
Table 1. Initial setting for simulation
|
$V_{M}$
|
$V_{T}$
|
$a_{D}$
|
$\theta_{M}$
|
$\theta_{T}$
|
|
550$m/s$
|
200$m/s$
|
9$g$
|
$-\dfrac{1}{5}\pi$
|
$-\dfrac{1}{9}\pi$
|
표 2. 바람 설정
Table 2. Wind settings
|
$a_{Turbulance}$
|
$b_{Turbulance}$
|
$V_{x_{Turbulance}}$
|
$V_{y_{Turbulance}}$
|
$V_{x_{gust}}$
|
$V_{y_{gust}}$
|
|
0.8
|
0.9
|
20
|
20
|
70
|
50
|
그림 4의 (a)에서, 정리 1의 제어를 사용한 미사일은 난류로 인한 약한 외란에 대해 강건성을 보이며, 오차 각도 $\Delta S$가 감소하는 경향을
보인다. 그러나 돌풍 발생 시 시선각 변화율 $\dot{\beta}$의 증가를 적절히 보상하지 못하여 궤적 편차가 발생하였으며, 결과적으로 빗나간
거리가 약 70m로 증가하고 요격이 실패하였다. 비례 항법 유도(PNG)를 사용한 미사일의 경우, 난류로 인해 불규칙적이고 불안정한 궤적을 보이다가
돌풍에 의해 $\theta_{FOV}$가 크게 증가하여 실험이 중단되었다.
반대로 정리 2 방식을 사용한 미사일의 경우, 미지의 바람 $w$와 목표물의 예상 최대 기동을 모두 고려한 제어 입력(수식 (17) 참조)을 적용한 결과이다. $\tan h$함수를 활용한 보상 항이 도입되어 시선각 변화율 $\dot{\beta}$의 예측 상하한 $\overline{\beta}$를
반영함으로써, 외란을 포함한 시선각 변화율이 예측 범위 이내인 경우 오차 각도 $\Delta S$가 0으로 수렴하였다. 이에 따라 미사일은 목표물을
놓치지 않고 부드러운 궤적을 유지하며 명중하였으며, 빗나간 거리가 1m 미만으로 유지되었다. 이는 유도 법칙의 강인성을 강화한 효과를 입증한다. 이러한
결과는 제안된 유도 법칙이 목표물의 불확실한 기동에도 목표를 달성할 수 있음을 증명하며, 실제 미사일 시스템 적용 시 외란 관측기 없이도 효과적으로
외란을 극복할 수 있음을 증명한다. 그림 4의 (b)에서는 실험 중 기록된 시간에 따른 미사일 별 거리를 확인할 수 있으며, 동그라미로 명중 시 식별이 가능하게 하였다.
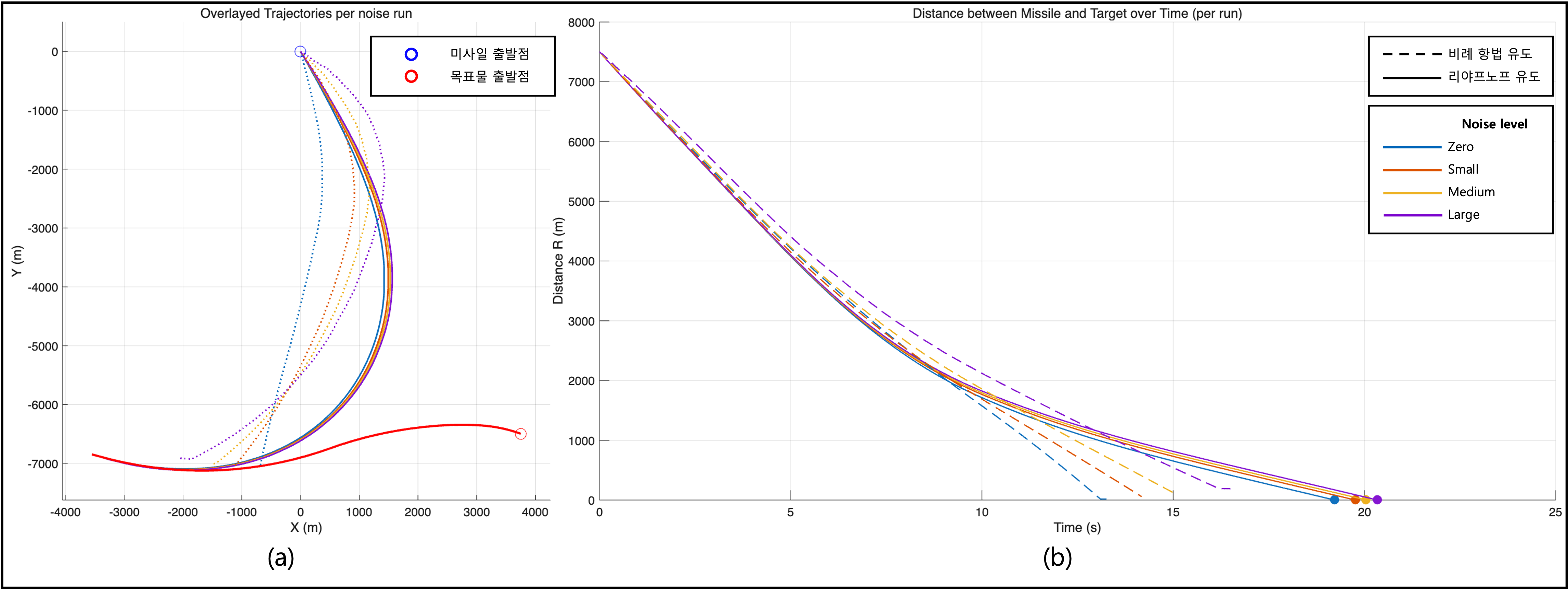
4.2 기존 방식과의 성능 비교
본 절에서는 전통적인 제어로 알려진 비례 항법 유도(PNG)와 본 논문에서 제안하는 리야프노프 안정도 정리를 이용한 유도 법칙의 외란에 대한 강건성
성능을 비교한다.
결과를 나타내는 그림 5에서, (a)는 시간에 따른 미사일과 목표물의 궤적, (b)는 시간에 따른 거리의 변화를 나타낸다. 외란은 아래와 같이 설정하였다.
그림 5. 외란 및 노이즈에 따른 제어기의 모의실험 결과 (a)미사일 및 표적의 궤적, (b)시간에 따른 거리
Fig. 5. Comparing simulation results of controllers effected by disturbance
이때, $\alpha$는 노이즈 가중치 $t$는 시간, $C_{1}\in[0 ,\: 1)$는 무작위 고정 가중치이고, $C_{2}\in[0 ,\:
1)$는 시간 의존 균일 난수이다. 외란 $n(t)$는 $\dot{\beta}(t)$ 우변에 더해서 동특성에 영향을 미치도록 하였다.
리야프노프를 사용한 유도 법칙에서는 노이즈의 세기에 관계없이 $\dot{\beta}$의 값이 $\overline{\beta}$범위 이내에 존재한다면
미사일이 안정적으로 목표물을 타격하였다. 그러나 비례 항법 유도에서는, 노이즈의 값이 증가함에 따라 미사일과 목표물의 충돌 각도가 증가하고, 안정적이지
못한 기동을 보이며 미사일이 목표를 인식할 수 있는 각도를 벗어나 목표물에 명중하지 못하고 실험이 종료되었다. 또한 이 모의 실험에서는 바람의 영향도
함께 고려되었으므로 제안하는 제어기가 파라미터 변화와 외란 모두에 강인한 성능을 보임을 의미한다.
4.3 기존 방식과의 성능 비교
본 절에서는 미사일과 목표의 초기값을 변화하며 다양한 상황에서의 미사일의 성능을 시험한다. 미사일과 목표의 초기값은 표 3에 나타나있으며, 환경 외란에 대한 설정은 표 4에 나타나있다. 그림 7은 상황 (a), (b), (c)에서 실험을 진행한 후 미사일과 목표물의 궤적을 나타낸 것이다. (a)는 목표물이 회피하는 상황에서 꼬리를 쫓는 tail-chase
상황이다. (b)는 목표물과 미사일이 마주 보는 head-on 상황이다. (c)는 미사일의 시선과 목표의 진행 방향이 직각을 이루게 되는 상황이다.
이러한 상황은 미사일이 목표물의 위치와 각도에 영향을 받지 않고 안정적으로 목표에 도달할 수 있음을 보인다. 그림 6에서는 그림 7의 (a), (b), (c)의 상황에서 미사일과 목표물의 시간에 따른 거리를 나타낸 것이다. 이를 통해 본 논문에서 제안하는 유도 법칙이 안정적으로
목표를 명중할 수 있음을 보였다.
그림 6. 상황 별 거리 변화
Fig. 6. Distance change over time by situation
표 3. 초기 설정
Table 3. Initial settings
|
|
$V_{M}$
|
$V_{T}$
|
$a_{D}$
|
$\theta_{M}$
|
$\theta_{T}$
|
|
a
|
600$m/s$
|
220$m/s$
|
-5$g$
|
$\dfrac{1}{4}\pi$
|
$\dfrac{6}{5}\pi$
|
|
b
|
650$m/s$
|
300$m/s$
|
-6$g$
|
$-\dfrac{1}{3}\pi$
|
$-\dfrac{7}{6}\pi$
|
|
c
|
500$m/s$
|
150$m/s$
|
4$g$
|
$-\dfrac{1}{4}\pi$
|
$\dfrac{1}{3}\pi$
|
표 4. 바람 설정
Table 4. Wind settings
|
|
$a_{Turbulance}$
|
$b_{Turbulance}$
|
$V_{x_{Turbulance}}$
|
$V_{y_{Turbulance}}$
|
$V_{x_{gust}}$
|
$V_{y_{gust}}$
|
|
a
|
0.6
|
0.8
|
20
|
20
|
50
|
-50
|
|
b
|
0.7
|
0.9
|
25
|
-25
|
60
|
45
|
|
c
|
0.8
|
1.0
|
30
|
30
|
-40
|
-45
|
그림 7. 제어기의 모의실험 결과
Fig. 7. Simulation results of controllers
5. 결 론
본 논문에서는 미사일 유도 시스템의 강건성을 강화하기 위하여, 목표물과 미사일, 예상 충돌 지점 사이에서 형성되는 충돌 삼각형의 각도를 활용하여 목표
각도 $u$와 보정된 목표 각도 $ku$를 정의하고, 리야프노프 안정성 이론을 적용한 유도 법칙을 제안하였다. 제안된 방법은 외란 관측기를 사용하지
않고도 목표물의 불규칙 기동, 바람 등의 방해 요소에 대해 오차 각도 $\Delta S$를 0으로 수렴시킴으로써 목표를 달성한다. 모의실험 결과,
난류와 돌풍을 포함한 바람 모델 및 목표물의 최대 기동 $\overline{c}$를 고려한 다양한 환경에서 제안된 유도 법칙이 목표를 달성함을 확인하였다.
본 연구의 기여는 최적화와 같은 계산 비용 없이도 강건한 유도 법칙을 제시한 점에 있다. 또한 tanh 함수를 도입하여 부드러운 제어 입력을 도출하면서도
불확실성을 보상하는 유도 법칙을 제안하였다.
Acknowledgements
This research was supported by Seoul National University of Science and Technology.
References
Y.M. Kim, J.H. Seo, 1995, The Realization of the Three Dimensional Guidance Law Using
Modified Augmented Proportional Navigation Guidance, Vol. 3, pp. 2707-2712

G. Adler, P. Fred, 1956, Missile Guidance by Three-Dimensional Proportional Navigation,
Journal of Applied Physics, Vol. 27, No. 5, pp. 500-507

D.H. Son, S.M. Seong, 2010, PNG Law for Missile Guidance Under Time Delayed Look Angle
Measurement, pp. 1328-1331

J.H. Yeom, S.M. Park, I.J. Ha, 2009, Optimal Terminal Guidance Law for BTT Missiles
Considering Impact-Angle Constraint of Stationary Target, pp. 1737-1738

N.F. Palumbo, R.A. Blauwkamp, J.M. Lloyd, 2010, Modern Homing Missile Guidance Theory
and Techniques, Johns Hopkins APL Technical Digest, Vol. 29, No. 1, pp. 42-59

S. Lee, J. Shin, H.G. Kim, D. Cho, H.J. Kim, 2023, Deep End-to-End Imitation Learning
for Missile Guidance with Infrared Images, International Journal of Control, Automation
and Systems (IJCAS), Vol. 21, No. 10, pp. 3419-3429

J. Ahn, J. Shin, H.G. Kim, 2022, Deep Reinforcement Learning-Based Robust Missile
Guidance, pp. 927-930

S. He, H. S. Shin, A. Tsourdos, 2021, Computational Missile Guidance: A Deep Reinforcement
Learning Approach, Journal of Guidance, Control, and Dynamics, Vol. 18, No. 8, pp.
571-582

N. Lechevin, C.A. Rabbath, 2004, Lyapunov-Based Nonlinear Missile Guidance, Journal
of Guidance, Control, and Dynamics, Vol. 27, No. 6, pp. 1096-1102

J.H. Chen, Y.A. Zhang, J.Y. Yu, 2005, Lyapunov Stability Based Guidance Law Considering
Maneuvering Target, Vol. 1, pp. 555-559

S.C. Park, E.J. Hwang, M. Park, 2005, Geometric Analysis of Missile Applied in Frenet-Serret
Formula & Missile Guidance Applied in Fuzzy Control, pp. 632-634

Y. Baba, M. Yamaguchi, R.M. Howe, 1993, Generalized Guidance Law for Collision Courses,
Journal of Guidance, Control, and Dynamics, Vol. 16, No. 3, pp. 511-516

T.H. Kim, B.G. Park, 2022, Three-Dimensional Look Angle Rate Constrained Guidance
for Strapdown Imaging Seeker Equipped Missiles, International Journal of Control,
Automation and Systems (IJCAS), Vol. 20, No. 1, pp. 160-174

D. Kim, W. Park, C.K. Ryoo, 2013, Look-Angle-Control Guidance for Missiles with Strapdown
Seeker, Journal of Institute of Control, Robotics and Systems, Vol. 19, No. 3, pp.
275-280

K.S Kim, Y.D. Kim, 2002, Design of Aim Angle Following Guidance Law Using Lyapunov
Theory, Journal of the Korean Society for Aeronautical and Space Sciences, Vol. 30,
No. 7, pp. 81-89

R.V. Nanavati, S.R. Kumar, A. Maity, 2021, Lead-angle-based three-dimensional guidance
for angle-constrained interception, Journal of Guidance Control and Dynamics, Vol.
44, No. 1, pp. 190-199

Y.W. Kim, 2022, A unified formulation of optimal guidance-to-collision law for accelerating
and decelerating targets, Chinese Journal of Aeronautics, Vol. 35, No. 7, pp. 40-54

I. Jeon, J. Lee, 2009, Analysis on Optimality of Proportional Navigation Based on
Nonlinear Formulation, Journal of the Korean Society for Aeronautical & Space Sciences,
Vol. 37, No. 4, pp. 367-371

J. Lee, 2007, Suboptimal Homing Guidance Law by Synthesis of the Aided Loop for Impact
Angle Constraint, Journal of the Korean Society for Aeronautical & Space Sciences,
Vol. 35, No. 11, pp. 1006-1012

E. Song, S. Jo, C. Park, W. Noh, 2010, Stability Analysis of Time-Varying Guidance
Loop of Launch Vehicles

J. Ahn, J. Shin, H. Kim, 2022, Deep reinforcement learning-based robust missile guidance

M. Seo, J. Park, 2025, Terminal Homing Guidance Algorithm for Ballistic Missile Interception
Based on Deep Reinforcement Learning, Journal of the Korean Society for Aeronautical
& Space Sciences, Vol. 53, No. 9, pp. 975-984

저자소개
He received B.S degrees in mechanical engineering and marine corps military study
from Dankook University, South Korea, in 2024. He is currently in master student course
in Seoul National University of Science and Technology, South Korea since 2024. His
research interests include 3D modeling, FEM, simulation and robotics.
He received B.S,, M.S. and Ph.D. degrees in electrical engineering from Korea University,
Seoul, South Korea, in 1998, 2000, and 2005, respectively. He was a post-doctoral
researcher at Seoul National University in South Korea, the University of Stuttgart
in Germany and the University of Leicester in the UK from March 2005 to February 2006,
from March 2006 to December 2007, from January 2008 to January 2009 respectively.
He is currently a full professor in the Dept. of Electrical and Information Engineering
at Seoul National University of Science and Technology, Seoul, South Korea since 2009.
His research interests include model predictive control, distributed control, application
of deep learning to energy systems and robotics.