์์ค์
(Joonsu Im)
*iD
๊น์ฒญํ
(Chunghun Kim)
*iD
๊น์ง์ฑ
(Jin Sung Kim)
โ iD
-
(Dept. of Electrical and Electronic Engineering, Pai Chai University, Republic of Korea.
E-mail : 2568602@pcu.ac.kr, chkim@pcu.ac.kr)
Copyright ยฉ The Korean Institute of Electrical Engineers
Key Words
Sliding Mode Control, Constraint Satisfaction, Time-varying Sliding Mode, Model Predictive Control, Vehicle Control
1. ์ ๋ก
ํ๋ ์ ์ด ์์คํ
์ ๋ณต์ก์ฑ์ ์ฆ๊ฐ์ ํจ๊ป ๊ณ ์ ๋ฐ๋, ๊ฐ์ธ์ฑ (robustness), ๊ทธ๋ฆฌ๊ณ ๋ฌผ๋ฆฌ์ ์ ์ฝ ์กฐ๊ฑด์ ์ค์๋ผ๋ ๋ค๋ฉด์ ์ธ ์๊ตฌ์ฌํญ์ ์ง๋ฉดํด
์๋ค. ํนํ ์์จ ์ฃผํ ์๋์ฐจ, ๋ก๋ด ๋งค๋ํฐ๋ ์ดํฐ, ์ ๋ฐ ๊ณต์ ์ ์ด์ ๊ฐ์ ์์ฉ ๋ถ์ผ์์๋ ์ธ๋ถ ์ธ๋ (external disturbance)๊ณผ ๋ชจ๋ธ
๋ถํ์ค์ฑ (model uncertainty)์ด ์กด์ฌํ๋ ํ๊ฒฝ์์๋ ์์ ์ ์ธ ์ ์ด ์ฑ๋ฅ์ ๋ณด์ฅํ๋ ๊ฒ์ด ํ์์ ์ด๋ค. ์ฌ๋ผ์ด๋ฉ ๋ชจ๋ ์ ์ด (Sliding
Mode Control, SMC)๋ ๋น์ ํ ์ ์ด ์ด๋ก ์ ๊ฐ์ฅ ๋ํ์ ์ด๊ณ ๊ฐ๋ ฅํ ๊ธฐ๋ฒ ์ค ํ๋๋ก, ์ง๋ ์์ญ ๋
๊ฐ ํ๊ณ์ ์ฐ์
๊ณ์์ ๊ด๋ฒ์ํ๊ฒ ์ฐ๊ตฌ๋์ด
์๋ค [1-
4]. SMC์ ํต์ฌ ์๋ฆฌ๋ ์์คํ
์ ์ํ (state)๊ฐ ์ํ ๊ณต๊ฐ (state-space) ๋ด์ ๋ฏธ๋ฆฌ ์ ์๋ ์ดํ๋ฉด (hyperplane), ์ฆ ์ฌ๋ผ์ด๋ฉ
ํ๋ฉด (sliding surface)์ ๋๋ฌํ๋๋ก ์ ๋ํ๊ณ , ์ผ๋จ ๋๋ฌํ ํ์๋ ์์คํ
์ ๋์ญํ์ด ์ค์ง ํด๋น ํ๋ฉด์ ๊ธฐํํ์ ํน์ฑ์ ์ํด ๊ฒฐ์ ๋๋๋ก
๊ตฌ์ํ๋ ๊ฒ์ด๋ค [1]. ์ด ์ ์ด ๊ธฐ๋ฒ์ ๊ฐ์ฅ ํฐ ์ฅ์ ์ ๋งค์นญ๋ ๋ถํ์ค์ฑ (matched uncertainty)์ ๋ํ ์์คํ
์ ๋ถ๋ณ์ฑ (invariance)์ ์๋ค [1]. ์์คํ
์ด ์ฌ๋ผ์ด๋ฉ ๋ชจ๋ (sliding mode)์ ์ง์
ํ์ฌ ํ๋ฉด ์๋ฅผ ๋ฏธ๋๋ฌ์ง๋ฏ ์ด๋ํ๋ ๋์, ์์คํ
์ ์ ์ด ์
๋ ฅ ์ฑ๋๋ก ๋ค์ด์ค๋ ์ธ๋ถ ์ธ๋์ด๋
ํ๋ผ๋ฏธํฐ ๋ณ๋์ ์ํฅ์ ๋ฐ์ง ์๊ณ ์ค๊ณ์๊ฐ ์๋ํ ์ถ์ฝ๋ ์ฐจ์ ๋์ญํ (reduced-order dynamics)์ ๋ฐ๋ฅด๊ฒ ๋๋ค [2]. ์ด๋ฌํ ํน์ฑ ๋๋ถ์ SMC๋ ์ ํํ ๋ชจ๋ธ๋ง์ด ์ด๋ ต๊ฑฐ๋ ํ๊ฒฝ ๋ณํ๊ฐ ์ฌํ ์์คํ
์ ์ด์ ๋งค์ฐ ํจ๊ณผ์ ์ธ ์๋ฃจ์
์ผ๋ก ์๋ฆฌ ์ก์๋ค. ๋ํ, ์ ์ด ๋ฒ์น์
์ค๊ณ๊ฐ ๋น๊ต์ ์ง๊ด์ ์ด๋ฉฐ, ์์คํ
์ ์ฐจ์๋ฅผ ๋ฎ์ถฐ ํด์ํ ์ ์๋ค๋ ์ ๋ํ SMC๊ฐ ๋๋ฆฌ ์ฌ์ฉ๋๋ ์ด์ ์ด๋ค.
์ ํต์ ์ธ SMC๊ฐ ๊ฐ์ง ์ด๋ก ์ ๊ฐ์ธ์ฑ์๋ ๋ถ๊ตฌํ๊ณ , ์ค์ ์์ฉ ๋จ๊ณ์์๋ ๋ช ๊ฐ์ง ๋ณธ์ง์ ์ธ ๋ฌธ์ ์ ์ด ์ ๊ธฐ๋์ด ์๋ค. ์ฒซ์งธ๋ ์ฑํฐ๋ง (chattering)
ํ์์ด๋ค. ์ด์์ ์ธ ์ฌ๋ผ์ด๋ฉ ๋ชจ๋๋ ๋ฌดํํ ๋น ๋ฅธ ์ค์์นญ ์ฃผํ์๋ฅผ ์๊ตฌํ์ง๋ง, ์ค์ ํ๋์จ์ด (์ก์ถ์์ดํฐ, ์ผ์, ๋ง์ดํฌ๋กํ๋ก์ธ์)๋ ๋ฌผ๋ฆฌ์ ํ๊ณ๋ก
์ธํด ์ ํํ ์ค์์นญ ์๋๋ฅผ ๊ฐ๋๋ค. ์ด๋ก ์ธํด ์์คํ
์ํ๊ฐ ์ฌ๋ผ์ด๋ฉ ํ๋ฉด์ ์๋ฒฝํ๊ฒ ๊ณ ์ ๋์ง ๋ชปํ๊ณ ํ๋ฉด ์ฃผ๋ณ์ ๊ณ ์ฃผํ์๋ก ์ง๋ํ๊ฒ ๋๋๋ฐ, ์ด๋
์ก์ถ์์ดํฐ์ ๋ง๋ชจ๋ฅผ ๊ฐ์ํํ๊ณ ์ ์ด ์ ๋ฐ๋๋ฅผ ์ ํ์ํค๋ฉฐ ์์คํ
์ ์์น ์๋ ๊ณ ์ฃผํ ๋์ญํ์ ์ ๊ธฐํ ์ ์๋ค. ๋์งธ, ๋๋ฌ ๋จ๊ณ (reaching phase)์์์
๊ฐ์ธ์ฑ ๋ถ์ฌ์ด๋ค [5]. ์ ํต์ ์ธ SMC๋ ์์คํ
์ํ๊ฐ ์ด๊ธฐ ์์น์์ ์ฌ๋ผ์ด๋ฉ ํ๋ฉด์ ๋๋ฌํ๊ธฐ๊น์ง ๊ฑธ๋ฆฌ๋ ์๊ฐ, ์ฆ ๋๋ฌ ๋จ๊ณ ๋์์๋ ์ฌ๋ผ์ด๋ฉ ๋ชจ๋ ํน์ ์ ๋ถ๋ณ์ฑ์ด
๋ณด์ฅ๋์ง ์๋๋ค [6]. ์ด ๊ตฌ๊ฐ์์๋ ์ธ๋ถ ์ธ๋์ ๋ฏผ๊ฐํ๊ฒ ๋ฐ์ํ ์ ์์ผ๋ฉฐ, ์ด๋ ์ ์ฒด ์์คํ
์ ๊ณผ๋ ์๋ต ์ฑ๋ฅ์ ์ ํ์ํค๋ ์์ธ์ด ๋๋ค. ์ด๋ฅผ ํด๊ฒฐํ๊ธฐ ์ํด ์ ๋ถ
์ฌ๋ผ์ด๋ฉ ๋ชจ๋ ์ ์ด (integral SMC) ๋ฑ์ด ์ ์๋์์ผ๋ [5-
7], ์ด๋ ์ ์ด๊ธฐ ๊ตฌ์กฐ๋ฅผ ๋ณต์กํ๊ฒ ๋ง๋ค๊ฑฐ๋ ์ค๋ฒ์ํธ (overshoot) ๋ฌธ์ ๋ฅผ ์ผ๊ธฐํ ์ ์๋ค. ์
์งธ, ์ ์ฝ ์กฐ๊ฑด (constraints) ์ฒ๋ฆฌ์
์ด๋ ค์์ด๋ค. ์ค์ ์ฐ์
๊ณต์ ์ด๋ ์์จ ์ฃผํ ์ฐจ๋๊ณผ ๊ฐ์ ์์คํ
์์๋ ์
๋ ฅ ์ ์์ ํ๊ณ, ์กฐํฅ๊ฐ์ ๋ฌผ๋ฆฌ์ ๋ฒ์, ์์ ์ ์ํ ์ํ ๋ณ์์ ์ ํ ๋ฑ ๋ค์ํ
์ ์ฝ ์กฐ๊ฑด์ด ์กด์ฌํ๋ค. ์ ํต์ ์ธ SMC ์ค๊ณ ๋ฐฉ์์ ์ด๋ฌํ ์ ์ฝ ์กฐ๊ฑด์ ๋ช
์์ ์ผ๋ก ๊ณ ๋ คํ๊ธฐ ์ด๋ ต๋ค. ์ ์ด ์
๋ ฅ์ด ํฌํ (saturation)๋ ๊ฒฝ์ฐ
์ฌ๋ผ์ด๋ฉ ์กฐ๊ฑด์ด ๊นจ์ง ์ ์์ผ๋ฉฐ, ์ด๋ ์์คํ
์ ์์ ์ฑ์ ์ํํ๋ ์น๋ช
์ ์ธ ๊ฒฐ๊ณผ๋ก ์ด์ด์ง ์ ์๋ค. ํนํ ์
๋ ฅ ์ ์ฝ์ด ์๋ ์ํฉ์์ ํฐ ์ด๊ธฐ ์ค์ฐจ๋
๊ณผ๋ํ ์ ์ด ์
๋ ฅ์ ์ ๋ฐํ์ฌ ์์คํ
์ฑ๋ฅ์ ์ฌ๊ฐํ๊ฒ ์ ํ์ํจ๋ค.
์์ ์ธ๊ธํ ๋๋ฌ ๋จ๊ณ์์์ ๊ฐ์ธ์ฑ ๋ถ์ฌ์ ๊ณผ๋ํ ์ ์ด ์
๋ ฅ ๋ฌธ์ ๋ฅผ ํด๊ฒฐํ๊ธฐ ์ํด ์๋ณ ์ฌ๋ผ์ด๋ฉ ๋ชจ๋ (time-varying SMC, TV-SMC)
๊ธฐ๋ฒ์ด ์ฐ๊ตฌ๋์๋ค [8]. TV-SMC์ ํต์ฌ ์์ด๋์ด๋ ์ฌ๋ผ์ด๋ฉ ํ๋ฉด์ ๊ณ ์ ๋ (fixed) ํ๋ฉด์ผ๋ก ๋์ง ์๊ณ , ์ด๊ธฐ ์ํ์์ ์์ํ์ฌ ์๊ฐ์ด ์ง๋จ์ ๋ฐ๋ผ ๋ชฉํ ์ง์ ์ผ๋ก
์ด๋ํ๊ฑฐ๋ ํ์ ํ๋ ๋์ ์ธ ํ๋ฉด์ผ๋ก ์ค๊ณํ๋ ๊ฒ์ด๋ค. J. S. Kim ๋ฑ์ ์์จ ์ฃผํ ์ฐจ๋์ ์ฐจ์ ๋ณ๊ฒฝ ์ ์ด๋ฅผ ์ํด ์ต์ ์๋ณ ์ฌ๋ผ์ด๋ฉ ๋ชจ๋ (optimal
TV-SMC)๋ฅผ ์ ์ํ์๋ค [8]. ์ด ์ฐ๊ตฌ์์๋ ์ฌ๋ผ์ด๋ฉ ํ๋ฉด์ ๊ธฐ์ธ๊ธฐ๋ฅผ ์๊ฐ์ ํจ์๋ก ์ ์ํ์ฌ, ์ด๊ธฐ ์ํ๊ฐ ์ด๋ฏธ ์ฌ๋ผ์ด๋ฉ ํ๋ฉด ์์ ์๋๋ก ์ค์ ํจ์ผ๋ก์จ ๋๋ฌ ๋จ๊ณ๋ฅผ ์ ๊ฑฐํ์๋ค.
๊ทธ๋ฌ๋ ์ด ์ ํ ์ฐ๊ตฌ๋ ๋ ๊ฐ์ง ์ค์ํ ํ๊ณ๋ฅผ ์ง๋๊ณ ์์๋ค. ์ฒซ์งธ, ์์คํ
์ ์ ์ฝ ์กฐ๊ฑด์ ๋ช
์์ ์ผ๋ก ๊ณ ๋ คํ์ง ๋ชปํ๋ค. ์๋ฎฌ๋ ์ด์
๊ธฐ๋ฐ ํ์์ ์ ์ฝ
์กฐ๊ฑด์ ์๋ฐํ๋ ํด๋ฅผ ์๋์ผ๋ก ์ ๊ฑฐํ ์๋ ์์ผ๋, ์ต์ ํ ๊ณผ์ ์์ฒด์ ์ ์ฝ ์กฐ๊ฑด์ ํฌํจํ์ฌ ํด๋ฅผ ๊ตฌํ๋ ๊ตฌ์กฐ์ ์ ๊ทผ์ ์๋์๋ค. ๋์งธ, ์์์ ์ด๊ธฐ
์ํ (arbitrary initial state)์ ๋ํ ์ต์ ์ฑ์ ๋ณด์ฅํ์ง ๋ชปํ๋ค. ์ต์ ํ๋ ํ๋ผ๋ฏธํฐ๋ ํน์ ์ด๊ธฐ ์กฐ๊ฑด์ ๋ํด์๋ง ์ ํจํ์ผ๋ฉฐ, ์ด๊ธฐ
์ํ๊ฐ ๋ฌ๋ผ์ง๋ฉด ํด๋น ํ๋ผ๋ฏธํฐ๋ ๋ ์ด์ ์ต์ ํด (optimal solution)๊ฐ ์๋์๋ค.
์ต๊ทผ ์ ์ด ์ด๋ก ๋ถ์ผ์์๋ ์ด๋ฌํ ํ๊ณ๋ฅผ ๊ทน๋ณตํ๊ธฐ ์ํด ์ฌ๋ผ์ด๋ฉ ๋ชจ๋ ์ ์ด์ ๋ชจ๋ธ ์์ธก ์ ์ด (Model Predictive Control, MPC)๋ฅผ
์ตํฉํ๋ ค๋ ์๋๊ฐ ํ๋ฐํ ์ด๋ฃจ์ด์ง๊ณ ์๋ค [9-
10]. ์ด๋ฅผ ์ฌ๋ผ์ด๋ฉ ๋ชจ๋ ์์ธก ์ ์ด (Sliding Mode Predictive Control, SMPC)๋ผ ๋ถ๋ฅธ๋ค. SMPC ๊ด๋ จ ์ต์ ์ฐ๊ตฌ์์๋
ํฌ๊ฒ ๋ ๊ฐ์ง ํจ๋ฌ๋ค์์ผ๋ก ๋ถ๋ฅํ ์ ์๋ค. 1) Block-To-Block (BTB) ๋ฐฉ์ [11-
12]: SMC์ MPC๋ฅผ ๋
๋ฆฝ์ ์ธ ๋ธ๋ก์ผ๋ก ์ค๊ณํ์ฌ ๊ฒฐํฉํ๋ ๋ฐฉ์์ด๋ค. ์๋ฅผ ๋ค์ด, MPC๊ฐ ์์ฑํ ์ต์ ์
๋ ฅ์ SMC๊ฐ ์ถ์ข
ํ๊ฑฐ๋, MPC๊ฐ Nominal
์ ์ด ์
๋ ฅ์ ์์ฑํ๊ณ SMC๊ฐ ์ธ๋ ๋ณด์์ ๋ด๋นํ๋ ํํ์ด๋ค. M. Rubagotti ๋ฑ์ ์ ๋ถ ์ฌ๋ผ์ด๋ฉ ๋ชจ๋ (integral sliding mode)๋ฅผ
์ฌ์ฉํ์ฌ ๊ฐ์ธ์ฑ์ ํ๋ณดํ๊ณ MPC๋ฅผ ํตํด ์ ์ฝ ์กฐ๊ฑด์ ์ฒ๋ฆฌํ์๋ค [11]. 2) Integrated Block (IB) ๋ฐฉ์ [13-
14]: SMC์ MPC๋ฅผ ํ๋์ ํตํฉ๋ ์ต์ ํ ๋ฌธ์ ๋ก ์ตํฉํ๋ ๋ฐฉ์์ด๋ค. ์ด ๋ฐฉ์์ ์ฌ๋ผ์ด๋ฉ ๋ณ์ ์์ฒด๋ฅผ ๋น์ฉ ํจ์ (cost function)์ ํฌํจ์ํค๊ฑฐ๋,
์ฌ๋ผ์ด๋ฉ ๋ชจ๋ ๋๋ฌ ์กฐ๊ฑด์ MPC์ ์ข
๋ฃ ์ ์ฝ ์กฐ๊ฑด (terminal constraint)์ผ๋ก ์ค์ ํ๋ ๋ฑ์ ํํ๋ก ๋ํ๋๋ค. M. Rubagotti
๋ฑ ์ด์ฐ ์๊ฐ ์์คํ
์์ MPC์ ์ด๋๊ตฌ๊ฐ (receding horizon) ๊ตฌ์กฐ๋ฅผ ํ์ฉํ์ฌ ์
๋ ฅ ๋ฐ ์ํ ์ ์ฝ ์กฐ๊ฑด์ ๋ง์กฑํ๋ฉด์ ์ฌ๋ผ์ด๋ฉ ๋ชจ๋๋ฅผ
๊ตฌํํ๋ ์ฐ๊ตฌ๋ฅผ ์ํํ์๋ค [13-
14]. ์ด ์ฐ๊ตฌ๋ ์ฌ๋ผ์ด๋ฉ ํ๋ฉด์ ๋๋ฌํ๋ ๊ณผ์ ์ ์ต์ ํํ๊ฑฐ๋, ์ ์ฝ ์กฐ๊ฑด ํ์์ ๋ถ๋ณ ์งํฉ (invariant set)์ ์ ์งํ๋ ๋ฐ ์ด์ ์ ๋ง์ถ๊ณ
์๋ค. ๊ทธ๋ฌ๋ ๊ธฐ์กด ์ฐ๊ตฌ๋ค์ ๋๋ถ๋ถ์ ๊ณ ์ ๋ ์ฌ๋ผ์ด๋ฉ ํ๋ฉด์ ๊ฐ์ ํ๊ฑฐ๋, ์ฌ๋ผ์ด๋ฉ ํ๋ฉด ์์ฒด๋ฅผ ๋์ ์ผ๋ก ์ต์ ํํ์ฌ ์ค๊ณํ๋ ์ ๊ทผ๋ณด๋ค๋ ์ฃผ์ด์ง ํ๋ฉด์
๋๋ฌํ๋ ์ ์ด ์
๋ ฅ์ ์ต์ ํํ๋ ๋ฐ ์ฃผ๋ ฅํ๋ ๊ฒฝํฅ์ด ์๋ค.
๋ณธ ๋
ผ๋ฌธ์ ์ ํ ์ฐ๊ตฌ์ ํ๊ณ์๋ ์ ์ฝ ์กฐ๊ฑด ์ฒ๋ฆฌ ๋ถ์ฌ์ ์ด๊ธฐ ์ํ ์์กด์ฑ ๋ฌธ์ ๋ฅผ ํด๊ฒฐํ๊ธฐ ์ํด, ์ ์ฝ ์กฐ๊ฑด์ ๊ณ ๋ คํ ์ต์ ์๋ณ ์ฌ๋ผ์ด๋ฉ ๋ชจ๋ ์ ์ด
(constrained optimal TV-SMC) ๊ธฐ๋ฒ์ ์ ์ํ๋ค. ๋ณธ ๋
ผ๋ฌธ์ ํต์ฌ ๊ธฐ์ฌ๋ ๋ค์๊ณผ ๊ฐ๋ค.
์ฒซ์งธ, ์ด๋๊ตฌ๊ฐ ๊ตฌ์กฐ๋ฅผ ํตํ ์๋ณ ์ฌ๋ผ์ด๋ฉ ํ๋ฉด์ ์ค์๊ฐ ์ต์ ์ค๊ณ์ด๋ค. ๊ธฐ์กด์ ๊ณ ์ ๋ ํ๋ผ๋ฏธํฐ ํ์ ๋ฐฉ์์์ ๋ฒ์ด๋, MPC ๊ตฌ์กฐ์ ๋น์ทํ ์ด๋๊ตฌ๊ฐ
ํ๋ ์์ํฌ๋ฅผ ๋์
ํ์ฌ ๋งค ์ํ๋ง ์๊ฐ๋ง๋ค ํ์ฌ ์ํ์ ์ ์ฝ ์กฐ๊ฑด์ ๊ณ ๋ คํ ์ต์ ์ ์ฌ๋ผ์ด๋ฉ ํ๋ฉด์ ๊ณ์ฐํ๋ค. ๋์งธ, ๋ช
์์ ์ธ ์ ์ฝ ์กฐ๊ฑด์ ํตํฉ์ด๋ค.
์ ์ํ๋ ๊ธฐ๋ฒ์ ์
๋ ฅ ํฌ๊ธฐ, ์
๋ ฅ ๋ณํ์จ, ๊ทธ๋ฆฌ๊ณ ์ํ ๋ณ์์ ๋ํ ์ ์ฝ ์กฐ๊ฑด์ ์ต์ ํ ๋ฌธ์ ์ ๋ถ๋ฑ์ ์ ์ฝ ์กฐ๊ฑด์ผ๋ก ์ง์ ๊ณ ๋ คํ๋ค. ์ด๋ฅผ ํตํด ๋ฌผ๋ฆฌ์
ํ๊ณ๋ฅผ ์๋ฐํ์ง ์์ผ๋ฉด์๋ ์ต์ ์ ๊ณผ๋ ์๋ต ์ฑ๋ฅ์ ๋ณด์ฅํ๋ ์๋ณ ์ฌ๋ผ์ด๋ฉ ๊ถค์ ์ ์์ฑํ ์ ์๋ค. ์
์งธ, ์์์ ์ด๊ธฐ ์ํ์ ๋ํ ๊ฐ์ธํ ์ต์ ์ฑ
ํ๋ณด์ด๋ค. ์ ํ ์ฐ๊ตฌ๊ฐ ํน์ ์ด๊ธฐ ์ํ์ ๋ํด์๋ง ์ต์ ํ๋ ๊ถค์ ์ ์ ๊ณตํ๋ ๊ฒ๊ณผ ๋ฌ๋ฆฌ, ๋ณธ ๋
ผ๋ฌธ์ ์์์ ์ด๊ธฐ ์ํ์์๋ ์ด๋๊ตฌ๊ฐ ์ต์ ํ๋ฅผ ํตํด ์ค์๊ฐ์ผ๋ก
์ต์ ์ ์ฌ๋ผ์ด๋ฉ ๊ถค์ ์ ๊ฐฑ์ ํ๋ค. ์ด๋ ์์คํ
์ ๋ถํ์ค์ฑ์ด๋ ์ด๊ธฐ ์กฐ๊ฑด์ ๋ณ๋์๋ ๋ถ๊ตฌํ๊ณ ์ผ๊ด๋ ์ ์ด ์ฑ๋ฅ์ ์ ์งํ๊ฒ ํ๋ค. ๋ณธ ๋
ผ๋ฌธ์ ์ฌ๋ผ์ด๋ฉ
๋ชจ๋ ์ ์ด์ ๊ฐ์ธ์ฑ๊ณผ ๋ชจ๋ธ ์์ธก ์ ์ด์ ์ต์ ํ ๋ฐ ์ ์ฝ ์กฐ๊ฑด ์ฒ๋ฆฌ ๋ฅ๋ ฅ์, ์๋ณ ์ฌ๋ผ์ด๋ฉ ํ๋ฉด์ ์ต์ ์ค๊ณ๋ผ๋ ์๋ก์ด ๊ด์ ์์ ์ ๊ธฐ์ ์ผ๋ก ํตํฉํ์๋ค๋
์ ์์ ๊ธฐ์กด ์ฐ๊ตฌ๋ค๊ณผ ์ฐจ๋ณํ๋๋ค.
2. ์ฐจ๋ ์ข
๋ฐฉํฅ ๋ชจ๋ธ
์ฐจ๋์ ์ข
๋ฐฉํฅ ๋์ญํ์ ์์ง, ํ ํฌ ์ปจ๋ฒํฐ, ํธ๋์ค๋ฏธ์
, ํ์ด์ด ๋ฑ ๋ณต์กํ๊ณ ๋ค์ํ ์์คํ
์ผ๋ก ๊ตฌ์ฑ๋์ด ์๋ค [15]. ์ด๋ฌํ ๋ณต์กํ ์์คํ
์ ๋ชจ๋ ๋น์ ํ์ผ๋ก ๋ชจ๋ธ๋งํ๋ ๊ฒ ๋ณด๋ค, ๋ณธ ๋
ผ๋ฌธ์์๋ ์๋ ์๊ณผ ๊ฐ์ด ๊ฐ๋จํ ์๊ฐ ์ง์ฐ ๋ชจ๋ธ๋ก ์ฌ์ฉํ๋ค [15].
์ฌ๊ธฐ์ $a$๋ ์ฐจ๋ center of gravity (c.g.)์์์ ์ข
๋ฐฉํฅ ๊ฐ์๋์ด๊ณ , $a_{des}$๋ ์ํ๋ ์ฐจ๋ ์ข
๋ฐฉํฅ ๊ฐ์๋์ด๋ค.
์ข
๋ฐฉํฅ ์ ์ด๊ธฐ์์๋ $a_{des}$๋ฅผ ์ ์ด ์
๋ ฅ์ผ๋ก ๊ณ์ฐํ๋ค. $\tau$๋ $a_{des}$๊ฐ์ ์ฐจ๋์ ์
๋ ฅํ์์ ๋, ์ค์ ๋ก ์ฐจ๋์ ์ข
๋ฐฉํฅ
๊ฐ์๋ $a$๊ฐ ๋ฐ์ํ๊ธฐ๊น์ง์ ๊ฑธ๋ฆฐ ์๊ฐ์ด๋ค. ์ฆ ์ ์ด ์
๋ ฅ $a_{des}$๋ฅผ ์
๋ ฅํ๊ณ $\tau$ ์๊ฐ ๋ค ์ค์ ๋ก ์ฐจ๋์ ์ข
๋ฐฉํฅ ๊ฐ์๋๊ฐ ๋ฐ์ํ๋
๊ฒ์ด๋ค. (1)์ ์๊ฐ์ ๋ํ ๋ฐฉ์ ์์ผ๋ก ๋ณํํ ๋ค ์ํ ๊ณต๊ฐ ๋ฐฉ์ ์ (state-space equation)์ผ๋ก ํํ ํ๋ฉด ์๋ ์๊ณผ ๊ฐ์ด ๋๋ค.
์ฌ๊ธฐ์ $x =\left[\begin{matrix}v & a\end{matrix}\right]^{T}$๋ ์์คํ
์ ์ํ์ด๋ฉฐ, $v$๋ ์ฐจ๋ c.g.์์์
์ข
๋ฐฉํฅ ์๋์ด๊ณ , $u$๋ ์ ์ด ์
๋ ฅ์ด๋ฉฐ (1)์์์ $a_{des}$์ ๊ฐ๋ค. ์ฐจ๋ ์ข
๋ฐฉํฅ ๋ชจ๋ธ (2)๋ฅผ zero-order hold (ZOH) ๋ฐฉ๋ฒ์ ํตํด ์ด์ฐํ ํ๋ฉด, ์๋ ์๊ณผ ๊ฐ์ด ์ด์ฐ ์๊ฐ ๋ชจ๋ธ (discrete-time model)์ ์ป์
์ ์๋ค.
์ฌ๊ธฐ์ $\Phi\in R^{2\times 2}, \gamma\in R^{2\times 1}$์ด๋ค. ๋ณธ ๋
ผ๋ฌธ์์๋ (3)์ ์ด์ฉํ์ฌ ์ ์ด๊ธฐ๋ฅผ ์ค๊ณํ๋ค.
3. ์ด์ฐ ์๊ฐ ์ฌ๋ผ์ด๋ฉ ๋ชจ๋ ์ ์ด
3.1 ๊ธฐ๋ณธ ๊ฐ๋
์ด์ฐ ์๊ฐ ๋ชจ๋ธ์ด (3)๊ณผ ๊ฐ์ด ์ฃผ์ด์ ธ ์๋ค๊ณ ์๊ฐํ์. ๋จผ์ ์ฌ๋ผ์ด๋ฉ ํ๋ฉด์ ์๋์ ๊ฐ์ด ์ ์ํ๋ค.
์ฌ๊ธฐ์ $S=\left[\begin{matrix}\eta & 1\end{matrix}\right]$์ด๋ค. ๋ง์ฝ ์์คํ
์ ์ํ๊ฐ ์ฌ๋ผ์ด๋ฉ ํ๋ฉด์ ์กด์ฌํ๋ค๊ณ
๊ฐ์ ํ๋ฉด, $s(k+1)=s(k)=0$์ด๋ค [1-
2]. ์ฌ๊ธฐ์ ์ฐ๋ฆฌ๋ ๋ค์๊ณผ ๊ฐ์ ๊ฒฐ๊ณผ๋ฅผ ์ป์ ์ ์๋ค.
(5)์์ $u_{eq}(k)$๋ ์ฌ๋ผ์ด๋ฉ ํ๋ฉด์ ๋ฐ๋ผ ์์คํ
์ ์ํ๊ฐ ์์ง์ด๊ฒ ํ๋ ๋ฑ๊ฐ ์ ์ด ์
๋ ฅ์ด๋ฉฐ, ์๋ ์๊ณผ ๊ฐ์ด ๊ณ์ฐ๋๋ค [1].
์ฌ๊ธฐ์ $(S\gamma)^{-1}$๊ฐ ์กด์ฌํ๋๋ก $S$๋ฅผ ์ค๊ณํ๋ค.
์ฐ๋ฆฌ๋ ์์คํ
์ ์ํ๊ฐ ์ฌ๋ผ์ด๋ฉ ํ๋ฉด์ ๋๋ฌํ๊ธฐ ์ํ ๋๋ฌ ๋จ๊ณ์์์ ์ ์ด ์
๋ ฅ์ด ํ์ํ๋ค. ์ด๋ฅผ ์ํด ์๋์ ๊ฐ์ ์กฐ๊ฑด์ ๊ณ ๋ คํ๋ค [8,
16].
(7)์ ์ด์ฉํ์ฌ, ์ต์ข
์ ์ผ๋ก ์ฌ๋ผ์ด๋ฉ ๋ชจ๋ ์ ์ด์ ์
๋ ฅ์ ๋ฑ๊ฐ ์ ์ด ์
๋ ฅ (6)๊ณผ ๋๋ฌ ์ ์ด ์
๋ ฅ์ผ๋ก ๊ตฌ์ฑ๋๋ฉฐ, ๋ค์๊ณผ ๊ฐ์ ์์ผ๋ก ํํ๋๋ค.
3.2 ์๋ณ ์ฌ๋ผ์ด๋ฉ ๋ชจ๋ ์ ์ด
3.1์์ ์์๋ณธ SMC๋ ๋ชจ๋ธ์ ๋ถํ์ค์ฑ์ด๋ ์ธ๋์ ๊ฐ์ธํ ์ ์ด ๋ฐฉ๋ฒ์ด์ง๋ง ๋๋ฌ ๋จ๊ณ์์ ์์คํ
์ ์ํ๋ฅผ ์ฌ๋ผ์ด๋ฉ ํ๋ฉด์ผ๋ก ๋ณด๋ด๊ธฐ ์ํด ๋ง์ ์ ์ด
์
๋ ฅ์ด ๋ฐ์ํ ์ ์๋ค. ์ด๋ฅผ ์ฐจ๋ ์ ์ด์ ๊ทธ๋๋ก ์ ์ฉํ๋ค๋ฉด, ๋ชฉํ ์๋๊ฐ ๊ฐ์๊ธฐ ๋ณํ๋ ์ํฉ์์ ๊ณผ๋ํ ๊ฐ์์ด๋ ๊ฐ์์ด ๋ฐ์ํ ์ ์๊ณ , ์ด๋ ํ์น๊ฐ์
์น์ฐจ๊ฐ์ ์ ํ์ํฌ ๊ฐ๋ฅ์ฑ์ด ์กด์ฌํ๋ค [8]. ๋ฐ๋ผ์ ์ฌ๋ผ์ด๋ฉ ๋ชจ๋ ์ ์ด์ ์ฅ์ ์ ์ด์ฉํ๋ฉด์ ๋๋ฌ ๋จ๊ณ์์์ ๋ถ๋๋ฌ์ด ์ ์ด ์
๋ ฅ์ ๋ง๋ค๊ธฐ ์ํด์, ๋ค์๊ณผ ๊ฐ์ด ์ฌ๋ผ์ด๋ฉ ํ๋ฉด์ ์๋ณ ํจ์๋ก ์ฌ์ฉํ
์ ์๋ค [8].
์๋ณ ์ฌ๋ผ์ด๋ฉ (9)๋ฅผ ํ์ฉํ์ฌ, time-varying ์ฌ๋ผ์ด๋ฉ ์ ์ด๋ ์๋์ ๊ฐ์ด ๊ณ์ฐ๋๋ค.
4. ์ด๋๊ตฌ๊ฐ์์์ ์ต์ ์๋ณ ์ฌ๋ผ์ด๋ฉ ํ๋ฉด
์ต์ ์ ์๋ณ ์ฌ๋ผ์ด๋ฉ $S(k)=\left[\begin{matrix}\nu(k)& 1\end{matrix}\right]$์ ๊ณ์ฐํ๊ธฐ ์ํด, ๋จผ์ ์๊ฐ
ํ์ฅ ๊ตฌ์กฐ๋ฅผ ๊ณ ๋ คํ๋ค. ์๋ ์์ ํน์ ๋ฏธ๋ ์๊ฐ๊น์ง ํ์ฅํ ์ ์ด ์
๋ ฅ์ ๋ํ๋ธ๋ค.
์ฌ๊ธฐ์ $\overline{G}\in R^{N\times 2N}$์ด๊ณ , $N$์ ๋ฏธ๋ ์๊ฐ๊ณผ ๊ด๋ จ๋ ํ๋ผ๋ฏธํฐ์ด๋ฉฐ ๋๊ฒ ๊ฐ์ ์ค์ ํ ์๋ก ๋จผ ๋ฏธ๋ ์๊ฐ๊น์ง
๊ณ ๋ คํ ์ ์๋ค. ์์คํ
์ ์ํ๋ ์๊ฐ ํ์ฅ ๊ตฌ์กฐ๋ฅผ ํตํด ๋ฏธ๋ ํน์ ์๊ฐ๊น์ง ํํํ๋ค๋ฉด ์๋ ์๊ณผ ๊ฐ๋ค.
์ฌ๊ธฐ์ $\psi\in R^{2N\times 2}$, ๊ทธ๋ฆฌ๊ณ $Y\in R^{2N\times N}$์ด๋ค. ์
๋ ฅ์ ๋ํ ๋ณํ $\Delta u(k)=u(k)-u(k-1)$๋
์๊ฐ ํ์ฅ ๊ตฌ์กฐ์์ ๊ณ ๋ คํ๋ค.
๋ชฉํํ๊ณ ์ ํ๋ ์ฌ๋ผ์ด๋ฉ ํ๋ฉด์ ํตํด ๊ณ์ฐ๋ ์ ์ด ๊ฒ์ธ์ ์๋์ ๊ฐ๋ค.
(14)๋ฅผ ์ด์ฉํ์ฌ ์ต์ข
์ ์ผ๋ก ๋ชฉํํ๋ ์ ์ด ์
๋ ฅ์ (15)์ ๊ฐ๋ค.
์ด๋๊ตฌ๊ฐ ๊ตฌ์กฐ๋ฅผ ํตํด ์ต์ ํ๋ฅผ ๊ณ์ฐํ๊ธฐ ์ํ ๋ชฉํ ํจ์ (objective function)๋ ์๋์ ๊ฐ์ด ์ค์ ํ์๋ค.
(16)์์ ๊ฐ๊ฐ ํ๋ผ๋ฏธํฐ๋ ์๋์ ๊ฐ๋ค.
๋ํ, ์ ์ฝ ์กฐ๊ฑด์ ์ค์ ํ๊ธฐ ์ํด ์ ์ด ์
๋ ฅ์ ๋ํ ์ ์ฝ, ์ ์ด ๋ณํ์ ๋ํ ์ ์ฝ, ๊ทธ๋ฆฌ๊ณ ์์คํ
์ํ์ ๋ํ ์ ์ฝ์ ์๋์ ๊ฐ์ด ์ค์ ํ์๋ค.
(17)์์ ๊ฐ ํ๋ผ๋ฏธํฐ๋ ์๋์ ๊ฐ๋ค.
์ต์ข
์ ์ผ๋ก ์ ์ฝ ์กฐ๊ฑด์ด ์๋ ์ต์ ํ ๋ฌธ์ ๋ ๋ค์๊ณผ ๊ฐ์ด ํํ๋๋ค.
์ฌ๊ธฐ์ $p(k)=\left[\begin{matrix}u(k-1)\\x(k)\end{matrix}\right]$ ์ด๋ค. (18)์ ํตํด ๊ณ์ฐ๋ ์ ์ด ์
๋ ฅ์ ์ ์ฝ ์กฐ๊ฑด์ ๊ณ ๋ คํ ์ต์ ์๋ณ ์ฌ๋ผ์ด๋ฉ ์ ์ด์ ๊ฒฐ๊ณผ๋ผ๊ณ ๋ณผ ์ ์๋ค.
5. ์๋ฎฌ๋ ์ด์
๊ฒฐ๊ณผ
์ ์ํ ์๊ณ ๋ฆฌ์ฆ์ ๊ฒ์ฆํ๊ธฐ ์ํด MATLAB/Simulink๋ฅผ ์ด์ฉํ์๋ค. ํ๋ํธ์ ์ ์ด๊ธฐ์ ์ํ ์๊ฐ์ 10ms๋ก ์ค์ ํ์๊ณ , ์ฐจ๋์ ์ด๊ธฐ ์ํ๋
$x_{0}=\left[\begin{matrix}15 & 0\end{matrix}\right]^{T}$๋ก ์ค์ ํ์๋ค. ์์คํ
์ ๊ฐ ์ํ์ ๋จ์๋ ๊ฐ๊ฐ
m/s, $m/s^{2}$์ด๋ค. ์ฑ๋ฅ ๋น๊ต๋ฅผ ์ํด ์ ํ ์ฐ๊ตฌ์ ์ ํ ์๋ณ ์ฌ๋ผ์ด๋ฉ ๋ชจ๋ (Linear TV-SMC) ๊ธฐ๋ฒ์ ๋์กฐ๊ตฐ์ผ๋ก ์ฌ์ฉํ์๋ค.
์ต์ ํ ๋ฌธ์ ์ธ (18)์ ๊ณ์ฐํ๊ธฐ ์ํด MATLAB์ quadprog ํจ์๋ฅผ ์ฌ์ฉํ์๋ค.
๊ทธ๋ฆผ 1์ ์์คํ
์ ์ฒซ ๋ฒ์งธ ์ํ ๋ณ์์ธ ์ฐจ๋ ์๋ $x_{1}$์ ์๋ต ํน์ฑ์ ๋ณด์ฌ์ค๋ค. ๋ชฉํ ์ฐจ๋ ์๋์ ๋ํด ๊ธฐ์กด์ ์ ํ ๊ธฐ๋ฒ (linear)์ ์ ์ํ
์ต์ ๊ธฐ๋ฒ (optimal)๋ณด๋ค ๋น ๋ฅด๊ฒ ๋ชฉํ ์๋์ ๋๋ฌํ๋ ๊ฒ์ฒ๋ผ ๋ณด์ด์ง๋ง, ์ด๋ ์ฐจ๋์ ๋ฌผ๋ฆฌ์ ์ ์ฝ ์กฐ๊ฑด์ ๋ฌด์ํ ๊ฒฐ๊ณผ์ด๋ค. ๋ฐ๋ฉด ์ ์ํ ์ต์
๊ธฐ๋ฒ์ ์์คํ
์ ๋ถ๊ณผ๋ ์ ์ฝ ์กฐ๊ฑด์ ๋ชจ๋ ์ค์ํ๋ฉด์ ์์ ์ ์ผ๋ก ๋ชฉํ ์๋์ ์๋ ดํ๋ ๊ฒ์ ํ์ธํ ์ ์๋ค.
๊ทธ๋ฆผ 1. ์ฒซ ๋ฒ์งธ ์์คํ
์ํ: $x_{1}$ (์ฐจ๋ ์๋)
Fig. 1. The first system state: $x_{1}$ (Vehicle Speed)
๊ทธ๋ฆผ 2๋ ๋ ๋ฒ์งธ ์ํ ๋ณ์์ธ ์ฐจ๋ ๊ฐ์๋ $x_{2}$์ ๊ถค์ ์ ๋ํ๋ธ๋ค. ๋ณธ ์๋ฎฌ๋ ์ด์
์์๋ ์ ์ ํ ์น์ฐจ๊ฐ์ ๊ณ ๋ คํ๊ธฐ ์ํด ๊ฐ์๋์ ๋ํ ์ํ ์ ์ฝ
(state constraint)์ 1.5 $m/s^{2}$์ผ๋ก ์ค์ ํ์๋ค [17]. ๊ธฐ์กด ์ ํ ๊ธฐ๋ฒ์ ๊ณผ๋ ๊ตฌ๊ฐ์์ ๊ฐ์๋๊ฐ 2.0 $m/s^{2}$๊น์ง ์น์์ผ๋ฉฐ ์ ์ฝ ์กฐ๊ฑด์ ํฌ๊ฒ ์๋ฐํ๋ ๋ฐ๋ฉด, ์ ์ํ ๊ธฐ๋ฒ์ ๊ฐ์๋๊ฐ ์ ์ฝ ๊ฒฝ๊ณ์ธ
1.5 $m/s^{2}$์ ๋๋ฌํ๋ฉด ์ด๋ฅผ ์ด๊ณผํ์ง ์๋๋ก ์ฌ๋ผ์ด๋ฉ ํ๋ฉด์ ์ค์๊ฐ์ผ๋ก ์ต์ ํํ์ฌ ์ ์ฝ ์กฐ๊ฑด์ ์ค์ํ๋ ๊ฒ์ ํ์ธํ ์ ์๋ค.
๊ทธ๋ฆผ 2. ๋ ๋ฒ์งธ ์์คํ
์ํ: $x_{2}$ (์ฐจ๋ ๊ฐ์๋)
Fig. 2. The second system state: $x_{2}$ (Vehicle Accel.)
๊ทธ๋ฆผ 3๊ณผ ๊ทธ๋ฆผ 4๋ ๊ฐ๊ฐ ์ ์ด ์
๋ ฅ $u$์ ์ ์ด ์
๋ ฅ ๋ณํ์จ $\Delta u$์ ๊ฒฐ๊ณผ๋ฅผ ๋ณด์ฌ์ค๋ค. ๊ทธ๋ฆผ 4์ ํ๋๋ ์์ญ์ ๋ณด๋ฉด, ๊ธฐ์กด ๋ฐฉ๋ฒ์ ์ด๊ธฐ ์ ์ด ์์ ์์ ์์ ์
๋ ฅ ๋ณํ์จ์ด ์ ์ฝ ๋ฒ์๋ฅผ ํฌ๊ฒ ๋ฒ์ด๋๋ ๊ธ๊ฒฉํ ๋ณํ๋ฅผ ๋ณด์ธ๋ค. ์ด๋ ์ค์ ๊ตฌ๋๊ธฐ์
๋ฌด๋ฆฌ๋ฅผ ์ค ์ ์๋ ๊ฒฐ๊ณผ์ด๋ค. ๊ทธ๋ฌ๋ ์ ์ํ ์๊ณ ๋ฆฌ์ฆ์ QP (quadratic programming) ํ๋ ์์ํฌ๋ฅผ ํตํด ๋งค ์๊ฐ ์
๋ ฅ ์ ์ฝ๊ณผ ๋ณํ์จ
์ ์ฝ ๋ด์์ ์ต์ ํด๋ฅผ ๋์ถํ๋ฏ๋ก, ๋ชจ๋ ์
๋ ฅ์ด ํ์ฉ ๋ฒ์ ๋ด์์ ๋ถ๋๋ฝ๊ฒ ์์ฑ๋๋ค.
๊ทธ๋ฆผ 3. ์ ์ด ์
๋ ฅ
Fig. 3. Control input
๊ทธ๋ฆผ 4. ์ ์ด ์
๋ ฅ ๋ณํ
Fig. 4. Control input rate
๊ทธ๋ฆผ 5๋ ์๋ณ ์ฌ๋ผ์ด๋ฉ ํ๋ฉด์ ๋ณํ๋ฅผ ๊ฒฐ์ ํ๋ ํ๋ผ๋ฏธํฐ $\eta(k)$์ ๊ฒฐ๊ณผ์ด๋ค. ์ ์ํ ๊ธฐ๋ฒ์ ๊ณ ์ ๋ ์ ํ ๊ท์น์ ๋ฐ๋ฅด๋ ๊ธฐ์กด ๋ฐฉ์๊ณผ ๋ฌ๋ฆฌ, ์ด๋๊ตฌ๊ฐ
ํ๋ ์์ํฌ๋ฅผ ํตํด ํ์ฌ ์ํ์ ์ ์ฝ ์กฐ๊ฑด์ ์ฌ์ ๋๋ฅผ ๊ณ ๋ คํ์ฌ $\eta(k)$๋ฅผ ์ค์๊ฐ์ผ๋ก ๊ฐฑ์ ํ๋ค. ์ด๋ฅผ ํตํด ์ ์ฝ ์กฐ๊ฑด์ ์ธ์ ํ ์ํฉ์์๋ ์์คํ
์
์์ ์ฑ์ ์ ์งํ๋ฉฐ ์ต์ ์ ์ฌ๋ผ์ด๋ฉ ๊ถค์ ์ ํ์ฑํ ์ ์๋ค.
๊ทธ๋ฆผ 5. ์๋ณ ์ฌ๋ผ์ด๋ฉ ํ๋ฉด ๊ฒฐ๊ณผ
Fig. 5. Result of time-varying sliding surface
๊ทธ๋ฆผ 6์ ์ฌ๋ผ์ด๋ฉ ์ํ์ค์ธ $s(k)$์ ๋ณํ๋ฅผ ๋ํ๋ธ๋ค. ๋ ๊ธฐ๋ฒ ๋ชจ๋ ์๋ณ ์ฌ๋ผ์ด๋ฉ ๋ชจ๋์ ํน์ฑ์ ํ์ฉํ์ฌ ์ด๊ธฐ ์ํ์์ $s(0)=0$์ ๋ง์กฑํจ์ผ๋ก์จ
๋๋ฌ ๋จ๊ณ๋ฅผ ์ ๊ฑฐํ์๋ค. ํ์ง๋ง ๊ธฐ์กด ๋ฐฉ๋ฒ์ ๊ณ ์ ๋ ์๋ณ ๊ท์น์ ๋ฐ๋ผ ์ฌ๋ผ์ด๋ฉ ํ๋ฉด์ด ๋ณํ๋ ๋ฐ๋ฉด, ์ ์ํ ๋ฐฉ๋ฒ์ ๋งค ์ํ๋ง ์์ ๋ง๋ค ์ ์ฝ ์กฐ๊ฑด์
๋ง์กฑํ๋ ์ต์ ์ ์ฌ๋ผ์ด๋ฉ ํ๋ผ๋ฏธํฐ๋ฅผ ์ค์๊ฐ์ผ๋ก ๊ณ์ฐํ๋ค. ๊ฒฐ๊ณผ์ ์ผ๋ก ์ ์ํ ๋ฐฉ๋ฒ์ ์ ์ฝ ์กฐ๊ฑด ์๋ฐฐ๊ฐ ์์๋๋ ์ง์ ์์ ์ฌ๋ผ์ด๋ฉ ํ๋ฉด์ ๊ธฐ์ธ๊ธฐ๋ฅผ ์ต์ ์ผ๋ก
๋ณด์ ํ๋ฉฐ ๋์ฑ ๋ถ๋๋ฌ์ด ์๋ ด ํน์ฑ์ ๋ณด์ฌ์ค๋ค.
๊ทธ๋ฆผ 6. ์ฌ๋ผ์ด๋ฉ ์ํ์ค: $s(k)$
Fig. 6. Sliding Sequence: $s(k)$
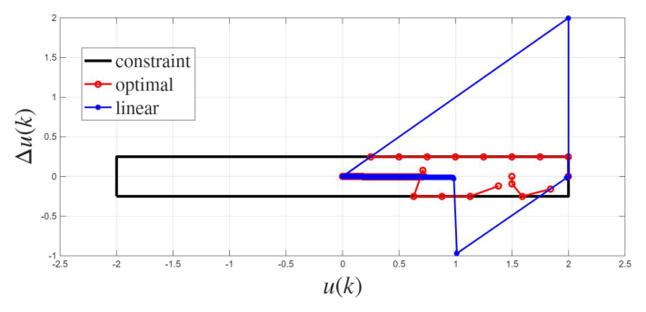
๊ทธ๋ฆผ 7์ ์ ์ด ์
๋ ฅ $u(k)$์ ์ ์ด ์
๋ ฅ ๋ณํ์จ $\Delta u(k)$์ ์ํธ ๊ด๊ณ๋ฅผ ๋ณด์ฌ์ฃผ๋ ๊ฒฐ๊ณผ์ด๋ค. ๊ฒ์์ ์ค์ ์ผ๋ก ํ์๋ ์ง์ฌ๊ฐํ ์์ญ์ ์์คํ
์
๋ฌผ๋ฆฌ์ ํ๊ณ๋ฅผ ๋ํ๋ด๋ ํตํฉ ์ ์ฝ ์กฐ๊ฑด ๋ฒ์๋ฅผ ์๋ฏธํ๋ค. ์๋ฎฌ๋ ์ด์
๊ฒฐ๊ณผ, ๊ธฐ์กด์ ์ ํ ์๋ณ ์ฌ๋ผ์ด๋ฉ ๋ชจ๋ (linear) ๊ธฐ๋ฒ์ ์ ์ด ์์ ์์
๋ฐ ๊ณผ๋ ์๋ต ๊ตฌ๊ฐ์์ ์ ์ฝ ์กฐ๊ฑด์ ํฌ๊ฒ ๋ฒ์ด๋๋ ๊ถค์ ์ ๊ทธ๋ฆฐ๋ค. ํนํ ์ ์ด ์
๋ ฅ์ ํฌ๊ธฐ๋ ํ๊ณ์น ๋ด์ ์๋๋ผ๋ ์
๋ ฅ ๋ณํ์จ $\Delta u(k)$๊ฐ
ํ์ฉ ๋ฒ์๋ฅผ ์ํํ๋ฉฐ ์ง์ฌ๊ฐํ ์๋จ ๋ฐ์ผ๋ก ๋๊ฐ๋ ์์์ ๋ณด์ด๋๋ฐ, ์ด๋ ์ค์ ๊ตฌ๋๊ธฐ์ ์๋ต ์๋ ํ๊ณ๋ฅผ ์ด๊ณผํ๋ ๊ณผ๋ํ ์ ์ด ๋ช
๋ น์ด ์ธ๊ฐ๋๊ณ ์์์
์ ์ ์๋ค. ๋ฐ๋ฉด, ๋ณธ ๋
ผ๋ฌธ์์ ์ ์ํ ์ต์ ๊ธฐ๋ฒ (optimal)์ ์ํ ๊ถค์ ์ด ์ ์ฝ ์กฐ๊ฑด์ ๊ฒฝ๊ณ์ ๋๋ฌํ๋๋ผ๋ ๊ฒ์์ ์ค์ ๋ด๋ถ๋ฅผ ๋ฒ์ด๋์ง ์๊ณ
๊ฒฝ๊ณ๋ฅผ ๋ฐ๋ผ ์ด๋ํ๋ ๊ฒ์ ํ์ธํ ์ ์๋ค. ์ด๋ QP ์ต์ ํ ๊ณผ์ ์์ $u(k)$์ $\Delta u(k)$์ ๋ํ ์ ์ฝ ์กฐ๊ฑด์ ๋ถ๋ฑ์ ์ ์ฝ์ผ๋ก
๋ช
์์ ์ผ๋ก ํฌํจํ๊ธฐ ๋๋ฌธ์ ๊ฐ๋ฅํ ๊ฒฐ๊ณผ์ด๋ค. ๊ฒฐ๊ณผ์ ์ผ๋ก ์ ์ํ ๊ธฐ๋ฒ์ ์
๋ ฅ์ ํฌ๊ธฐ๋ฟ๋ง ์๋๋ผ ๋ณํ์จ๊น์ง ๋์์ ๊ณ ๋ คํ์ฌ, ๊ตฌ๋๊ธฐ์ ๋ฌด๋ฆฌ๋ฅผ ์ฃผ์ง ์์ผ๋ฉด์๋
์ต์ ์ ์ฌ๋ผ์ด๋ฉ ๊ถค์ ์ ์ ์งํ๋ ์ ์ด ๋ฅ๋ ฅ์ ๋ณผ ์ ์๋ค.
๊ทธ๋ฆผ 7. ์ ์ฝ ์กฐ๊ฑด: ์ ์ด์
๋ ฅ - ์ ์ด ์
๋ ฅ ๋ณํ
Fig. 7. Constraint: Control input - control input rate
๊ทธ๋ฆผ 8์ ์ํ ๋ณ์ $x_{2}$์ ๊ถค์ ๊ณผ ์ค์ ๋ ์ํ ์ ์ฝ ์กฐ๊ฑด (state constraint)์ ๋ณด์ฌ์ค๋ค. ๊ธฐ์กด์ Linear ๋ฐฉ์์ ์ ์ด ๊ณผ์ ์์
์ํ ๋ณ์์ ์ ์ฝ ์กฐ๊ฑด์ ๊ณ ๋ คํ์ง ์๊ธฐ ๋๋ฌธ์, ๊ณผ๋ ์ํ์์ ์ค์ ๋ ์ ์ฝ ์กฐ๊ฑด์ ์ด๊ณผํ๋ ๊ฒฐ๊ณผ๋ฅผ ๋ณผ ์ ์๋ค. ๋ฐ๋ฉด, ์ ์ํ ๊ธฐ๋ฒ์ธ ๋นจ๊ฐ์ ์ ์
MPC ํ๋ ์์ํฌ ๋ด์์ ์ํ ์ ์ฝ์ ๋ช
์์ ์ผ๋ก ๊ณ ๋ คํ์ฌ ์ ์ฝ ์กฐ๊ฑด ๊ฒฝ๊ณ ๋ถ๊ทผ์์ ๊ถค์ ์ ๋ฅ๋์ ์ผ๋ก ์กฐ์ ํ์ฌ ์ ์ฝ ์กฐ๊ฑด์ ์๋ฐํ์ง ์๊ณ ์์ ์ ์ผ๋ก
๋ชฉํ์น์ ์๋ ดํจ์ ํ์ธํ ์ ์๋ค.
๊ทธ๋ฆผ 8. ์ ์ฝ ์กฐ๊ฑด: ์ ์ด ์
๋ ฅ - ์ฐจ๋ ๊ฐ์๋
Fig. 8. Constraint: Control input - vehicle accel.
ํ 1์ ๊ทธ๋ฆผ 7๊ณผ ๊ทธ๋ฆผ 8์ ์ ๋์ ๋ถ์ ๊ฒฐ๊ณผ์ด๋ค. ์ ์ํ ์๊ณ ๋ฆฌ์ฆ์ ์ฃผ์ด์ง ์ ์ฝ์กฐ๊ฑด์ ์๋ฐํ ํ์๊ฐ ์๊ณ , ์ ํ ๊ธฐ๋ฒ์ ๊ฒฝ์ฐ ์ ์ด ์
๋ ฅ ๋ณํ์ ๋ํด 2๋ฒ์ ์ ์ฝ ์๋ฐ, ์ฐจ๋
๊ฐ์๋์ ๋ํด 659๋ฒ์ ์ ์ฝ ์๋ฐ์ด ๋ฐ์ํ์๋ค.
ํ 1. ์ ์ฝ์กฐ๊ฑด ์๋ฐ ํ์
Table 1. The number of constraint violations
|
|
linear
|
optimal
|
|
์ ์ด์
๋ ฅ
|
0
|
0
|
|
์ ์ด ์
๋ ฅ ๋ณํ
|
2
|
0
|
|
์ฐจ๋ ๊ฐ์๋
|
659
|
0
|
5. ๊ฒฐ ๋ก
๋ณธ ๋
ผ๋ฌธ์์๋ ์ด๋๊ตฌ๊ฐ ์ ๊ทผ๋ฒ์ ๊ธฐ๋ฐ์ผ๋ก ์์คํ
์ ๋ฌผ๋ฆฌ์ ์ ์ฝ ์กฐ๊ฑด์ ๋ช
์์ ์ผ๋ก ๊ณ ๋ คํ ์ ์๋ ์๋ก์ด ์ต์ ์๋ณ ์ฌ๋ผ์ด๋ฉ ๋ชจ๋ ์ ์ด๊ธฐ๋ฒ์ ์ ์ํ์๋ค.
๊ธฐ์กด ์ฌ๋ผ์ด๋ฉ ๋ชจ๋ ์ ์ด์ ๊ณ ์ง์ ์ธ ๋ฌธ์ ์๋ ๋๋ฌ ๋จ๊ณ์์์ ๊ฐ์ธ์ฑ ๋ถ์ฌ์ ์ ์ฝ ์กฐ๊ฑด ์ฒ๋ฆฌ์ ์ด๋ ค์์ ํด๊ฒฐํ๊ธฐ ์ํด, ์๋ณ ์ฌ๋ผ์ด๋ฉ ํ๋ฉด์ ์ค๊ณ ๋ฌธ์ ๋ฅผ
MPC ํ๋ ์์ํฌ ๋ด์ ์ด์ฐจ ๊ณํ๋ฒ ๋ฌธ์ ๋ก ๊ตฌ์กฐํํ์๋ค. ์ฐจ๋ ์ข
๋ฐฉํฅ ์ ์ด ์์คํ
์ ๋์์ผ๋ก ์ํํ MATLAB/Simulink ์๋ฎฌ๋ ์ด์
๊ฒฐ๊ณผ,
์ ์๋ ๊ธฐ๋ฒ์ ๋๋ฌ ๋จ๊ณ๋ฅผ ์ต์ํํ๊ณ ์ ์ด ์์ ์์ ๋ถํฐ ๊ฐ์ธ์ฑ์ ํ๋ณดํ์๋ค. ๋ํ, ์ ์ด ์
๋ ฅ์ ํฌ๊ธฐ์ ๋ณํ์จ๋ฟ๋ง ์๋๋ผ ์ฐจ๋์ ๊ฐ์๋์ ๊ฐ์ ์ํ
๋ณ์์ ๋ถ๊ณผ๋ ์ ์ฝ ์กฐ๊ฑด์ ์๊ฒฉํ ์ค์ํ์๋ค. ๋ณธ ๋
ผ๋ฌธ์์ ์ ์ํ ์๊ณ ๋ฆฌ์ฆ์ SMC์ ๊ฐ์ธํจ๊ณผ MPC์ ์ต์ ํ ๋ฅ๋ ฅ์ ์ ๊ธฐ์ ์ผ๋ก ํตํฉํ์ฌ, ๋ณต์กํ
์ ์ฝ ์กฐ๊ฑด์ด ์กด์ฌํ๋ ์์จ์ฃผํ ์ฐจ๋ ์ ์ด ํ๊ฒฝ์์ ์์ ์ฑ๊ณผ ์ฑ๋ฅ์ ๋์์ ๋ณด์ฅํ ์ ์๋ ์ ํจํ ํด๋ฒ์์ ํ์ธํ์๋ค.
Acknowledgements
This research was supported by the Regional Innovation System & Education(RISE) program
through the Daejeon RISE Center, funded by the Ministry of Education(MOE) and the
Daejeon Metropolitan City, Republic of Korea. (2025-RISE-06-008)
References
C. Edwards, S. Spurgeon, 1998, Sliding mode control: theory and applications

V. Utkin, J. Guldner, J. Shi, 2017, Sliding mode control in electro-mechanical systems

J. Boo, S. Hong, 2025, Disturbance Observer-Based Integral Sliding Mode Control for
Bidirectional Platooning of Vehicles with Unknown Accelerations and Disturbances,
The Transactions of the Korean Institute of Electrical Engineers, Vol. 74, No. 11,
pp. 1950-1957

J. Park, S. Noh, H. Cho, 2025, Dynamic Axial Displacement Control of Axial Magnetic
Bearing Using Sliding Mode Control Technique, The Transactions of the Korean Institute
of Electrical Engineers, Vol. 74, No. 9, pp. 1521-1527

V. Utkin, J. Shi, 1996, Integral sliding mode in systems operating under uncertainty
conditions, pp. 4591-4596

M. Rubagotti, A. Estrada, F. Castanos, A. Ferrara, L. Fridman, 2011, Integral sliding
mode control for nonlinear systems with matched and unmatched perturbations, IEEE
Transactions on Automatic Control, Vol. 56, No. 11, pp. 2699-2704

F. Castanos, L. Fridman, 2006, Analysis and design of integral sliding manifolds for
systems with unmatched perturbations, IEEE Transactions on Automatic Control, Vol.
51, No. 5, pp. 853-858

J. S. Kim, S.-H. Lee, C. C. Chung, 2020, Lane Change Control with Optimal Time-varying
Sliding Mode in Automated Driving Vehicle, pp. 430-435

S.-H. Lee, C. C. Chung, 2017, Predictive control with sliding mode for autonomous
driving vehicle lateral maneuvering, pp. 2998-3003

A. Hansen, J. K. Hedrick, 2015, Receding horizon sliding control for linear and nonlinear
systems, pp. 1629-1634

M. Rubagotti, D. M. Raimondo, A. Ferrara, 2011, Robust model predictive control with
integral sliding mode in continuous-time sampled-data nonlinear systems, IEEE Trans.
on Control Systems Technology, Vol. 56, No. 3, pp. 556-570

S. J. Fesharaki, M. Kamali, F. Sheikholeslam, H. A. Talebi, 2020, Robust model predictive
control with sliding mode for constrained non-linear systems, IET Control Theory &
Applications, Vol. 14, No. 17, pp. 2592-2599

M. Rubagotti, G. P. Incremona, A. Ferrara, 2018, A Discrete-Time Optimization-Based
Sliding Mode Control Law for Linear Systems with Input and State Constraints, pp.
5940-5945

M. Rubagotti, G. P. Incremona, A. Ferrara, 2020, Constrained nonlinear discrete-time
sliding mode control based on a receding horizon approach, IEEE Trans. on Automatic
Control, Vol. 66, No. 8, pp. 3802-3809

R. Rajamani, 2012, Vehicle dynamics and control

A. Bartoszewicz, 1998, Discrete-time quasi-sliding-mode control strategies, IEEE Transactions
on Industrial Electronics, Vol. 45, No. 4, pp. 633-637

J. H. Hong, J. S. Kim, Y. S. Quan, T. Park, C. S. an, C. C. Chung, 2022, Adaptive
cruise control with motion sickness reduction: Data-driven human model and model predictive
control approach, pp. 1464-1470

์ ์์๊ฐ
He received a B.S. degree in Electrical Engineering from Pai Chai University, Daejeon,
South Korea, in 2024. He is currently pursuing an M.S. degree in Electrical and Electronic
Engineering at Pai Chai University in 2025.
He received the B.S. degree in electronic electricity computer engineering from Hanyang
University, Seoul, South Korea, in 2011, and the unified M.S. and Ph.D. degrees in
electrical engineering from Hanyang University, in 2018. In 2017, he was a Visiting
Scholar with the National Renewable Energy Laboratory, Colorado, USA. In 2018, he
was a Postdoctoral Researcher with the Department of Electrical Engineering, Kyungpook
National University, Deagu, South Korea, where he worked as a Research Professor,
in 2019. He is currently an Assistant Professor with the Department of Electrical
Electronic Engineering, Pai Chai University, Daejeon, South Korea. His current research
interests include integration of renewable energy and optimization of distributed
energy resource in micro-grid.
Kim received his B.S. degree in electronic engineering from Kookmin University, Seoul,
South Korea, in 2014 and his M.S. and Ph.D. in electrical engineering from Hanyang
University, Seoul, in 2019 and 2024, respectively. From 2024 to 2025, he was a Visiting
Scholar with the Department of Mechanical Engineering, University of California, Berkeley,
CA, USA. In 2025, he joined as a Faculty Member of the Department of Electrical and
Electronic Engineering at Pai Chai University, Daejeon, South Korea. His research
interests include data-driven control, autonomous driving, optimal control, and artificial
intelligence.